Alternate TextTo enhance service speed and avoid tariff delays, we've opened a US warehouse. All US orders ship directly from our US facility.
Home > Products > Featured products

Featured products

You can also try the following methods, and our professionals will serve you Customized Consultation
Cat. No. Product Name Field of Application Chemical Structure
DC67530 HY-501​​ Featured
HY-501​​ is a next-generation cationically ionizable lipid engineered for high-efficiency RNA delivery developed by Biontech. Formulated at ​​40–50 mol%​​ in lipid nanoparticles (LNPs) alongside DSPC, cholesterol, and polysarcosine-conjugated lipid ​​C14pSar23​​, HY-501 yields uniform, stable particles (80–100 nm) with >90% RNA encapsulation. It demonstrates ​​superior in vivo performance​​: driving 2-fold higher protein expression than benchmark lipids (EA-405/HY-405) in muscle tissue, minimizing off-target liver accumulation, and reducing immunogenic risks (near-zero complement activation and <5% hemolysis). Preclinically, HY-501-based LNPs encoding SARS-CoV-2 spike protein elicit potent neutralizing antibodies and T-cell responses, underscoring its utility in precision vaccines. Its combination of scalable synthesis, exceptional transfection efficiency, and biosafety establishes HY-501 as a transformative vector for therapeutic RNA delivery.
More description
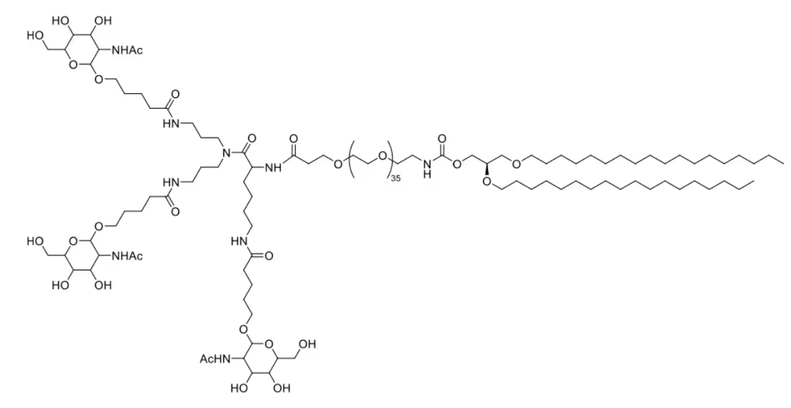
DC60502 GalNAc Lipid GL6(GalNAc Lipid 1004) Featured
GL6 is a trivalent GalNAc-lipid conjugate designed for ASGPR-mediated hepatic delivery. It features a lysine-based scaffold covalently linked to three GalNAc moieties via a ​36-unit PEG spacer, anchored by a ​1,2-O-dioctadecyl-sn-glyceryl (DSG) lipid tail. This structure balances ligand accessibility (via optimized PEG length) and nanoparticle stability (via hydrophobic DSG anchoring). Compared to GL3 (TRIS scaffold, same PEG length), GL6’s simplified lysine scaffold improves manufacturability. In LDLR-deficient models, GL6 enabled ​61% liver editing (vs. 5% with standard LNPs) at 2 mg/kg, demonstrating superior ASGPR targeting. Its design minimizes ligand crowding (0.05 mol% surface density) while maximizing endosomal escape and durable gene editing.
More description
DC67409 Galnac Lipid 83 Featured
Galnac Lipid 83 is developed by Prime Medicine Patent: WO2024220807.Galnac Lipid 83 83 is a GalNAc-conjugated lipid designed for targeted liver delivery. It features a triantennary GalNAc ligand linked via a PEG spacer (e.g., -(CH2CH2O)n-) to a branched hydrophobic tail (C18 alkyl chains). The structure includes amide/ester bonds for stability and a stereospecific configuration (R/S) to optimize ASGPR receptor binding. Integrated into lipid nanoparticles (LNPs), it enhances hepatic uptake of nucleic acids (e.g., mRNA, gene editors) by leveraging ASGPR-mediated endocytosis. Its design balances hydrophilicity (PEG) and lipophilicity (alkyl chains) for efficient encapsulation and in vivo delivery, supporting therapeutic applications in liver-specific gene editing or RNA therapies.
More description
DC67408 Galnac Lipid 29 Featured
Galnac Lipid 29 is from Prime Medicine Patent: WO2024220807. Compound 29 is a GalNAc-functionalized lipid featuring a tripartite structure: an N-acetylgalactosamine (GalNAc) targeting moiety for ASGPR-mediated liver uptake, a flexible PEG-based linker (e.g., ethylene glycol repeats), and dual C18 alkyl chains for lipid nanoparticle (LNP) integration. Its design includes stereospecific amide/urethane bonds (R/S configurations) to optimize stability and ligand orientation. Preclinical data demonstrate enhanced prime editing efficiency (>2-fold vs controls) in hepatocytes at low doses, attributed to improved endosomal escape and payload release. The compound enables liver-specific delivery of CRISPR systems while minimizing off-target accumulation, with <5% activity in non-hepatic cells.
More description
DC67563 S-Ac7-DOg Featured
S-Ac7-DOg​​ is an ​​ionizable lipid​​ engineered for optimized mRNA delivery to the retina, featuring a ​​sulfur-based ester bond​​ (S-Ac) and ​​dual oleyl glyceride chains​​ (DOg). Its pKa (~6.74) is finely tuned to enhance ​​endosomal escape​​ in acidic environments, enabling efficient cytosolic mRNA release. Unlike traditional lipids (e.g., C12-200, MC3), S-Ac7-DOg incorporates ​​biodegradable ester linkages​​ that hydrolyze intracellularly, minimizing lipid accumulation and reducing innate immune activation. In vitro, S-Ac7-DOg LNPs achieved >80% transfection efficiency in retinal cells (ARPE-19, MIO-M1) with ​​negligible cytokine secretion​​, outperforming MC3 and rivaling C12-200 while avoiding the latter’s high immunogenicity. In vivo, intravitreal delivery in mice showed ​​robust protein expression​​ in the optic nerve head (ONH) and Müller glia (75–100% of eyes), sustained for ≥7 days. Critically, it induced the ​​lowest immunogenicity​​ among tested lipids: minimal leukocyte infiltration (<1.5-fold vs. PBS), no microglial reactivity, and reduced GFAP upregulation.
More description
DC11457 Tos-Gly-Pro-Arg-pNA(Thrombin substrate) Featured
Tos-Gly-Pro-Arg-pNa is a chromogenic substrate for Thrombin.
More description
DC45080 Suc-Ile-Glu(γ-pip)-Gly-Arg-pNA hydrochloride (factor Xa specific chromogenic substrate) Featured
Suc-Ile-Glu(γ-pip)-Gly-Arg-pNA hydrochloride is a factor Xa specific chromogenic substrate.
More description
DC67319 S-2403(chromogenic substrate for plasmin and streptokinase-activated plasminoge) Featured
S-2403 is a chromogenic substrate for plasmin and streptokinase-activated plasminoge
More description
DC67320 S-2732 Suc-lle-Glu (y-Pip) -Gly-Arg-pNA hydrochloride Featured
The activated factor X (FXa)-specific chromogenic substrate S-2732 is a short peptide covalently bound to pNA (4-nitroaniline). A free pNA will be cleaved off the peptide chain by activated factor X, thus enabling quantitive detection by a spectrophotometer.
More description
DC26055 Caspase-1/4 Chromogenic Substrate(Suc-YVAD-pNA) Featured
Suc-YVAD-pNA is a colorimetric substrate for caspase-1/interleukin-1β-converting enzyme (ICE) and caspase-4.
More description
DC11334 Suc-Ala-Ala-Pro-Abu-pNA trifluoroacetate salt Featured
Suc-AAP-Abu-pNA is a chromogenic peptide substrate for pancreatic elastase.It is cleaved by elastase to release p-nitroalinide (p-NA), which can be quantified by colorimetric detection at 405 nm as a measure of enzyme activity.
More description
DC40321 H-D-Phe-Pip-Arg-pNA dihydrochloride Featured
H-D-Phe-Pip-Arg-pNA (S-2238) dihydrochloride, a chromogenic substrate, is patterned after the N-terminal portion of the A alpha chain of fibrinogen, which is the natural substrate of thrombin. H-D-Phe-Pip-Arg-pNA dihydrochloride is specific for thrombin and is used to measure antithrombin-heparin cofactor (AT-III). The AT-III assay using H-D-Phe-Pip-Arg-pNA dihydrochloride is sensitive, accurate, and easy to perform.
More description
DC71617 Suc-Gly-Gly-Phe-pNA(chymotrypsin substrate) Featured
The synthetic peptide Suc-Gly-Gly-Phe-pNA serves as a specific substrate for the enzyme chymotrypsin, demonstrating a Michaelis constant (Km) of 1.6 mM. This value reflects the substrate concentration at which the enzyme achieves half of its maximum reaction rate, indicating its affinity for the peptide.
More description
DC53059 H-D-CHG-Ala-Arg-pNA.2AcOH(Substrate Th-1) Featured
Chromogenic peptide substrate for the determination of thrombin and antithrombin III
More description
DC26060 H-Gly-Arg-PNA.HCl (colorimetric substrate for thrombin) Featured
H-Gly-Arg-pNA is a colorimetric substrate for thrombin.
More description
DC67318 S2366 HCl(chromogenic substrate for Factor XI ) Featured
S2366 HCl is a chromogenic substrate for Factor XI in plasma.
More description
DC53058 CH3OCO-D-CHA-Gly-Arg-pNA (Chromogenic Substrate Pefachrome FXa) Featured
CH3OCO-D-CHA-Gly-Arg-pNA acetate is a chromogenic substrate for factor Xa.
More description
DC11356 Ac-LEHD-pNA(Caspase-9 substrate) Featured
Ac-LEHD-pNA is a biological active peptide. (Caspase-9 substrate; pNA (4-nitroaniline)-derived caspase substrates are widely used for the colorimetric detection of various caspase activities. Cleavage of pNA peptides by caspases generates pNA that is monitored colorimetrically at ~405 nm. pNA has maximum absorption around 408 nm.)
More description
DC26049 Bz-IEGR-pNA (acetate) Featured
Bz-IEGR-pNA is a colorimetric substrate for Factor Xa.
More description
DC80052 H-D-Pro-Phe-Arg-pNA·2 HCl(S-2302,Chromogenic substrate) Featured
S-2302 is a Chromogenic substrate for plasma kallikrein, factor XIa and factor XIIa.
More description
DC65800 ARV-393 Featured
ARV-393 is an orally active PROTAC that utilizes the ubiquitin-proteasome system to target the degradation of BCL6. ARV-393 consists of ligand conjugates targeting BCL6 and the E3 ligase cereblon, respectively. ARV-393 has DC50 and GI50 values of <1 nM in multiple cell lines of diffuse large B-cell lymphoma (DLBCL) and Burkitt lymphoma (BL). ARV-393 also demonstrated considerable tumor suppressor activity in tumor xenograft models. ARV-393 is being studied to inhibit non-Hodgkin lymphoma.
More description
DC44518 SY-5609 (CDK7-IN-3) Featured
SY-5609 (CDK7-IN-3) is a selective CDK7 inhibitor with a KD of 0.059 nM. CDK7-IN-3 shows poor inhibition on CDK2 (Ki=390 nM), CDK9 (Ki=290 nM), CDK12 (Ki=78 nM). CDK7-IN-3 induce apoptosis in tumor cells and has antitumor activity.
More description
DC48063 2-Deoxy-2-fluoro-L-fucose Featured
2-Deoxy-2-fluoro-L-fucose, an L-fucose analog, is a fucosylation inhibitor. 2-Deoxy-2-fluoro-L-fucose inhibits de novo synthesis of GDP-fucose in mammalian cells. Fucosylation is a relatively well-defined biomarker for progression in many human cancers; for example, pancreatic and hepatocellular carcinoma.
More description
DC41046 Tiafenacil Featured
Tiafenacil is a new protoporphyrinogen IX oxidase (PPO)-inhibiting herbicide, with IC50 values of 22 to 28 nM for various plant species, including amaranth (Amaranthus tuberculatus), soybean (Glycine max), arabidopsis (Arabidopsis thaliana), and rapeseed (Brassica napus).
More description
DC40351 DSPE-PEG(2000)-Amine Featured
DSPE-PEG(2000)-Amine is used in the synthesis of solid lipid and thermosensitive liposomal nanoparticles for the delivery of anticancer agents.
More description
DC58047 DSPE-mPEG2000((sodium salt)) Featured
mPEG2000-DSPE is used in COVID 19 mRNA vaccines. It is a PEGylated derivative of 1,2-distearoyl-sn-glycero-3-PE . Formulations containing DSPE-MPEG(2000) have been used to prepare liposomes with long circulation time for the delivery of anticancer and antimalarial agents.. mPEG2000-DSPE has also been widely used as hydrophilic surface modifying agent for a variety types of hydrophobic nanoparticles, including recently reported lipid nanoparticle mRNA vaccines.
More description
DC65786 DSPE-PEG2000-OH (DSPE-PEG hydroxyl) Featured
DSPE-PEG2000-OH is used for creating micelles that are able to carry drugs with low solubility.
More description
DC66175 DMPE-PEG-Rhodamine B Featured
DMPE-PEG, a synthetic lipid, possesses unique properties and finds extensive applications as liposomes. Firstly, DMPE-PEG exhibits excellent biocompatibility and solubility, allowing for its stable presence and efficient absorption and metabolism in vivo. Additionally, DMPE-PEG possesses good surface activity, aiding in the stabilization of liposome structures and enhancing their stability.
More description
DC66226 DOPE-PEG-NBD Featured
DOPE-PEG is a versatile phospholipid derivative with unique properties that make it suitable for various applications. Its hydrophobic and hydrophilic nature enables efficient encapsulation and delivery of drugs and nucleic acids, making it a valuable tool in drug delivery systems and gene therapy. Additionally, DOPE-PEG can enhance the stability and circulation time of liposomes, improving their efficacy as drug carriers.
More description
DC21253 LY3202626 Featured
LY3202626 is a small molecule non-selective BACE1 inhibitor, causes dose-dependent reductions in CSF and plasma Aβ concentrations, shows potential for the treatment of Alzheimer's disease..
More description

Customized Consultation X

Your information is safe with us. * Required Fields.

Your name
Company
Email
Procuct Name
Cat. No.
Remark
Verification code
Please fill out the characters in the picture
X