To enhance service speed and avoid tariff delays, we've opened a US warehouse. All US orders ship directly from our US facility.
| Cat. No. | Product Name | Field of Application | Chemical Structure |
|---|---|---|---|
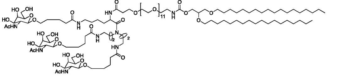
| DC67444 | GalNAc Lipid 1005 Featured |
GalNAc Lipid 1005 is a trivalent GalNAc-lipid conjugate designed for ASGPR-mediated hepatic delivery. It features a lysine-based scaffold covalently linked to three GalNAc moieties via a 44-unit PEG spacer, anchored by a 1,2-O-dioctadecyl-sn-glyceryl (DSG) lipid tail.
More description
|
|
| DC67443 | GalNAc Lipid 1002 Featured |
GalNAc Lipid 1002 is a trivalent GalNAc-lipid conjugate designed for ASGPR-mediated hepatic delivery. It features a lysine-based scaffold covalently linked to three GalNAc moieties via a 12-unit PEG spacer, anchored by a 1,2-O-dioctadecyl-sn-glyceryl (DSG) lipid tail.
More description
|
|
| DC67522 | AZD Lipid 17 Featured |
Lipid 17 is a novel, highly potent ionizable lipid designed for mRNA delivery within lipid nanoparticles (LNPs) developed by AstraZeneca . Its structure features a secondary amine head group attached to a cyclic ether moiety (specifically, the 2-oxaspiro[3.3]heptan-6-amine head group). It possesses an asymmetric tail architecture: one tail is derived from heptadecan-9-ol (a branched C17 secondary alcohol), while the other tail is a modified nonyl chain (C9) with a key ethyl branch at the 3-position. The linker connecting the head group to the tails has a length equivalent to n=3 (three methylene units) as defined in the study. This specific combination of the secondary amine cyclic ether head group, asymmetric tails, and the ethyl branch at the 3-position of the nonyl chain proved critical for its exceptional performance. When formulated into LNPs and administered intravenously in mice, Lipid 17 demonstrated a remarkable 6-fold increase in functional protein (eGFP) expression in the liver compared to the benchmark lipid MC3, with high statistical significance (P < 0.0001). This makes Lipid 17 one of the most active lipids identified in the study and a promising candidate for liver-targeted mRNA therapeutics.
More description
|
|
| DC67298 | Lipid 5D8 Featured |
Lipid 5D8 is a novel biodegradable ionizable lipid (IL) developed through a combinatorial chemistry strategy to overcome the limitations of conventional lipid nanoparticles (LNPs) in mRNA delivery. Synthesized via a one-step, solvent-free Michael addition reaction between amine and thiol monomers, 5D8 features asymmetric lipid tails and a biodegradable ester backbone, ensuring both structural versatility and reduced toxicity. In preclinical studies, 5D8-based LNPs demonstrated exceptional liver-targeting efficiency and mRNA delivery performance. A single intravenous dose (1 mg/kg) achieved 61% CRISPR-Cas9-mediated editing of the TTR gene in mice, reducing serum TTR protein by 90%, outperforming benchmark lipids like C12-200 (51% editing). Moreover, 5D8 enabled efficient delivery of base editors (ABE8.8 and CBE4max), achieving 42% PCSK9 editing (74% serum protein reduction) and correcting hereditary tyrosinemia in mice, significantly extending survival. Beyond gene editing, 5D8 LNPs effectively delivered siRNA (complete serum TTR clearance at 0.05 mg/kg) and enhanced hepatocyte targeting by enriching apolipoprotein E on particle surfaces. Crucially, 5D8 exhibited superior biocompatibility with no hepatotoxicity (normal ALT/AST levels), contrasting traditional LNPs. Its rapid biodegradability and "plug-and-play" design make 5D8 a versatile platform for mRNA therapeutics, holding broad potential for treating genetic disorders, cardiovascular diseases, and beyond. This innovation represents a critical advancement toward safer, high-efficiency clinical translation of gene-editing therapies.L
More description
|
|
| DC67281 | BNT-51 Featured |
BNT-51 is an ionizable thiolipid developed by Biontech, characterized by its sulfur-containing moieties and a multiarm dendron-like architecture. Synthesized via reactions between amine-containing compounds and sulfur-based halides or sulfonates, it forms stable lipid nanoparticles (LNPs) optimized for mRNA delivery. The LNPs exhibit uniform particle size (80–100 nm, PDI <0.2), near-neutral zeta potential, and high mRNA encapsulation efficiency (>90%), while maintaining payload integrity through freeze-thaw cycles and extended storage. In vitro, BNT-51 demonstrates low cytotoxicity (>80% cell viability in C2C12, HepG2, and HEK293 cells) and superior transfection efficiency compared to conventional lipids, particularly in immune cells such as CD4+/CD8+ T cells within PBMCs. Its modular design allows integration of stealth lipids (e.g., PEG or vitamin E derivatives) to prolong circulation time and minimize immune activation, as evidenced by low hemolysis and complement activation risks. In vivo, BNT-51-based LNPs enable targeted mRNA delivery to splenic macrophages, achieving potent genome editing (e.g., Cre mRNA) and therapeutic protein expression (e.g., BACH1) in preclinical models. With its tunable structure, robust stability, and cell-specific tropism, BNT-51 holds promise for advancing mRNA therapeutics in gene editing, cancer immunotherapy, and regenerative medicine, offering a versatile platform for next-generation nanomedicine.
More description
|
|
| DC67524 | Nitto Lipid 19 Featured |
Lipid 19 is an engineered cationic lipid designed to optimize the delivery of RNA within lipid nanoparticles (LNPs) developed by Nitto. Its unique structure—featuring a dual-hydroxyl headgroup and tailored hydrophobic chains—enables highly efficient encapsulation of these fragile genetic payloads, protecting them from degradation. The resulting LNPs exhibit exceptional stability (<100 nm size), target the liver specifically for enhanced therapeutic impact, and support applications ranging from mRNA vaccines to gene-silencing therapies. This makes lipid 19 a pivotal advancement in precision nanomedicine for liver-related disorders.
More description
|
|
| DC60545 | 200Oi10 Featured |
200Oi10 is an ionizable lipidoid used in lipid nanoparticles (LNPs) for RNA delivery. Structurally, it features ester-conjugated cleavable lipid tails, enhancing biodegradability and reducing toxicity compared to non-cleavable analogs. Preclinical studies show that 200Oi10-based LNPs primarily accumulate in the liver (97.7%) after intravenous administration. However, intraperitoneal injection redirects biodistribution, achieving 46.4% pancreatic uptake, which can be further amplified by incorporating cationic lipids like DOTAP. This unique tropism enables pancreas-targeted mRNA delivery. 200Oi10's ester linkages promote rapid clearance, improving biocompatibility while maintaining siRNA/mRNA delivery efficiency. Its design exemplifies the use of degradable lipidoids to balance organ specificity, efficacy, and safety in RNA therapeutics.
More description
|
|
| DC60800 | 18-2-9b2 Featured |
18-2-9b2 is a dendron-like degradable ionizable lipid which facilitates mRNA delivery to splenic macrophages. 18-2-9b2 LNP encapsulating therapeutic BTB domain and CNC homologue 1 (BACH1) mRNA exhibited proficient BACH1 expression and subsequent Spic downregulation in splenic red pulp macrophages (RPM) in a Spic-GFP transgene model.
More description
|
|
| DC60843 | CF3-2N6-UC18 Featured |
CF3-2N6-UC18 is a rationally designed chloroquine-inspired ionizable lipid that enables robust mRNA delivery and genome editing. It integrates three modular components: a 7-trifluoromethyl-substituted quinoline scaffold (mimicking chloroquine’s endosomolytic properties), a hexamethylenediamine linker with two ionizable nitrogen atoms (pH-responsive protonation), and two unsaturated oleyl (C18:1) hydrophobic tails (enhancing membrane fusion and nanoparticle stability). This lipid self-assembles into ecoLNPs (endosomolytic chloroquine-like lipid nanoparticles) with spherical morphology (~200 nm diameter, 98% mRNA encapsulation). Its pH-sensitive activity triggers endosomal escape through dual mechanisms: proton sponge effect (buffering endo-lysosomal pH) and saposin B-mediated membrane disruption (molecular docking confirms chloroquine-like binding to lysosomal saposin B). In vitro, ecoLNPs outperform commercial reagents (18.9-fold higher mRNA delivery than Lipofectamine 2000) and penetrate 3D cell models. They resist serum/RNase degradation and retain >90% activity after 7-day storage at 4°C. In vivo, ecoLNPs achieve tissue-specific mRNA expression via multiple routes (intravenous, intramuscular, etc.), with strong lymph node tropism (90.2% after intramuscular injection) comparable to SM-102 LNPs (Moderna’s COVID-19 vaccine carrier). They mediate efficient Cre mRNA-driven recombination and CRISPR-Cas9 editing in transgenic mice. CF3-2N6-UC18’s modular design, stability, and dual endosomal escape strategies position it as a versatile platform for mRNA vaccines, gene therapy, and genome editing applications.
More description
|
|
| DC60842 | Lipid H7T4-4 Featured |
H7T4-4 is an ionizable lipid designed for mRNA delivery via lipid nanoparticles (LNPs). It features a cyclic amine headgroup (derived from cyclen tetrahydrochloride) and four C14 hydrophobic alkyl tails, synthesized through a Michael addition reaction between cyclen and 1,2-epoxytetradecane. With a high transition temperature (Tm = 58.6°C) due to strong intermolecular interactions from its cyclic headgroup and multi-tail structure, H7T4-4 alone forms rigid aggregates incompatible with mRNA encapsulation. However, when blended with low-Tm helper lipids (e.g., DOPE, Tm = -16°C), the system’s overall Tm decreases, enabling stable LNP formation. Optimized formulations (20% H7T4-4, 41% DOPE, 38% cholesterol, 1% DMG-PEG) exhibit efficient mRNA encapsulation (>90%) and transfection. Structural analyses (SAXS, cryo-TEM) confirm monodisperse LNPs with lamellar/hexagonal phases. In vivo, H7T4-4 LNPs show tumor-targeted and intranasal mRNA delivery with reduced off-target accumulation compared to SM-102-based LNPs. This rational design highlights Tm-guided helper lipid selection to overcome rigidity challenges in ionizable lipids.
More description
|
|
| DC60579 | Lipid B3 Featured |
Lipid B3 is a biodegradable ionizable lipid for liver targeted delivery. Lipid B3-LNP shows high delivery efficacy and low toxicity in delivering RNA to liver cells.
More description
|
|
| DC67530 | HY-501 Featured |
HY-501 is a next-generation cationically ionizable lipid engineered for high-efficiency RNA delivery developed by Biontech. Formulated at 40–50 mol% in lipid nanoparticles (LNPs) alongside DSPC, cholesterol, and polysarcosine-conjugated lipid C14pSar23, HY-501 yields uniform, stable particles (80–100 nm) with >90% RNA encapsulation. It demonstrates superior in vivo performance: driving 2-fold higher protein expression than benchmark lipids (EA-405/HY-405) in muscle tissue, minimizing off-target liver accumulation, and reducing immunogenic risks (near-zero complement activation and <5% hemolysis). Preclinically, HY-501-based LNPs encoding SARS-CoV-2 spike protein elicit potent neutralizing antibodies and T-cell responses, underscoring its utility in precision vaccines. Its combination of scalable synthesis, exceptional transfection efficiency, and biosafety establishes HY-501 as a transformative vector for therapeutic RNA delivery.
More description
|
|
| DC60502 | GalNAc Lipid GL6(GalNAc Lipid 1004) Featured |
GL6 is a trivalent GalNAc-lipid conjugate designed for ASGPR-mediated hepatic delivery. It features a lysine-based scaffold covalently linked to three GalNAc moieties via a 36-unit PEG spacer, anchored by a 1,2-O-dioctadecyl-sn-glyceryl (DSG) lipid tail. This structure balances ligand accessibility (via optimized PEG length) and nanoparticle stability (via hydrophobic DSG anchoring). Compared to GL3 (TRIS scaffold, same PEG length), GL6’s simplified lysine scaffold improves manufacturability. In LDLR-deficient models, GL6 enabled 61% liver editing (vs. 5% with standard LNPs) at 2 mg/kg, demonstrating superior ASGPR targeting. Its design minimizes ligand crowding (0.05 mol% surface density) while maximizing endosomal escape and durable gene editing.
More description
|
|
| DC67409 | Galnac Lipid 83 Featured |
Galnac Lipid 83 is developed by Prime Medicine Patent: WO2024220807.Galnac Lipid 83 83 is a GalNAc-conjugated lipid designed for targeted liver delivery. It features a triantennary GalNAc ligand linked via a PEG spacer (e.g., -(CH2CH2O)n-) to a branched hydrophobic tail (C18 alkyl chains). The structure includes amide/ester bonds for stability and a stereospecific configuration (R/S) to optimize ASGPR receptor binding. Integrated into lipid nanoparticles (LNPs), it enhances hepatic uptake of nucleic acids (e.g., mRNA, gene editors) by leveraging ASGPR-mediated endocytosis. Its design balances hydrophilicity (PEG) and lipophilicity (alkyl chains) for efficient encapsulation and in vivo delivery, supporting therapeutic applications in liver-specific gene editing or RNA therapies.
More description
|
|
| DC67408 | Galnac Lipid 29 Featured |
Galnac Lipid 29 is from Prime Medicine Patent: WO2024220807. Compound 29 is a GalNAc-functionalized lipid featuring a tripartite structure: an N-acetylgalactosamine (GalNAc) targeting moiety for ASGPR-mediated liver uptake, a flexible PEG-based linker (e.g., ethylene glycol repeats), and dual C18 alkyl chains for lipid nanoparticle (LNP) integration. Its design includes stereospecific amide/urethane bonds (R/S configurations) to optimize stability and ligand orientation. Preclinical data demonstrate enhanced prime editing efficiency (>2-fold vs controls) in hepatocytes at low doses, attributed to improved endosomal escape and payload release. The compound enables liver-specific delivery of CRISPR systems while minimizing off-target accumulation, with <5% activity in non-hepatic cells.
More description
|
|
| DC67563 | S-Ac7-DOg Featured |
S-Ac7-DOg is an ionizable lipid engineered for optimized mRNA delivery to the retina, featuring a sulfur-based ester bond (S-Ac) and dual oleyl glyceride chains (DOg). Its pKa (~6.74) is finely tuned to enhance endosomal escape in acidic environments, enabling efficient cytosolic mRNA release. Unlike traditional lipids (e.g., C12-200, MC3), S-Ac7-DOg incorporates biodegradable ester linkages that hydrolyze intracellularly, minimizing lipid accumulation and reducing innate immune activation.
In vitro, S-Ac7-DOg LNPs achieved >80% transfection efficiency in retinal cells (ARPE-19, MIO-M1) with negligible cytokine secretion, outperforming MC3 and rivaling C12-200 while avoiding the latter’s high immunogenicity. In vivo, intravitreal delivery in mice showed robust protein expression in the optic nerve head (ONH) and Müller glia (75–100% of eyes), sustained for ≥7 days. Critically, it induced the lowest immunogenicity among tested lipids: minimal leukocyte infiltration (<1.5-fold vs. PBS), no microglial reactivity, and reduced GFAP upregulation.
More description
|
|
| DC67570 | Generation Lipid 87 Featured |
Lipid-87 is an ionizable lipid developed by Generation Bio, characterized by its tertiary amine group for pH-dependent protonation and dual C16/C17 aliphatic chains that enhance hydrophobic stability.As the core component (47.5–57.5 mol%) of stealth lipid nanoparticles (LNPs), Lipid87 enables extended blood circulation (>24-hour half-life vs. 30 min for conventional LNPs) by synergizing with steric-stabilizing polymers (e.g., DSG-PEG₂₀₀₀-OMe), achieves >95% encapsulation efficiency for mRNA/ceDNA with low cytotoxicity (IC₅₀ >100 μM), and drives liver-specific targeting (>80% hepatocyte transfection at 0.5 mpk), effectively restoring 40% FIX activity in hemophilia B models for over 7 days.
More description
|
|
| DC65619 | Lipid 11-A-M Featured |
LNP Lipid-8 (11-A-M) is an ionizable lipid, which can be used for lipid nanoparticles (LNP) to deliver siRNA to T cells without targeting to ligands. LNP LIPs-8 loaded with GFP siRNA (siGFP), and significantly causes GFP gene silencing in mice model.
More description
|
|
| DC67118 | PNI 132 Featured |
PNI 132, an ionizable lipid derived from the patent WO2020252589A developed by Precision Nanosystem, is useful in the formulation of lipid nanoparticles.
More description
|
|
| DC33635 | DODAP Featured |
DODAP, also known as 1,2-Dioleoyl-3-dimethylammonium-propane, is a cationic lipid. It has been used as a component in liposomes that can be used to encapsulate siRNA, immunostimulatory oligodeoxynucleotides, antisense oligonucleotides, or chemotherapeutic agents for in vitro and in vivo delivery.
More description
|
|
| DC33636 | DOTAP Featured |
DOTAP, also known as 1,2-Dioleoyl-3-trimethylammoniumpropane, is a cationic liposome-forming compound used for transfection of DNA, RNA, and other negatively charged molecules into eukaryotic cells. It has been used in gene delivery vectors for gene ther
More description
|
|
| DC65362 | BP Lipid 114 Featured |
BP Lipid 114 is a well-designed ionizable lipid optimized for mRNA encapsulation and delivery. Its ethanolamine headgroup, ester bonds at the C6 and C8 positions, and 9-carbon tail contribute to efficient mRNA complexation, stability during delivery, and improved biodegradability. These properties make it a valuable component in LNPs for gene therapy and other mRNA-based therapeutic applications.
More description
|
|
| DC65390 | BP Lipid 135 Featured |
BP Lipid 135 is a well-designed ionizable lipid optimized for mRNA encapsulation and delivery. Its propanolamine headgroup, ester bonds at the C8 position, and 9-carbon tail contribute to efficient mRNA complexation, stability during delivery, and improved biodegradability. These properties make it a valuable component in LNPs for gene therapy and other mRNA-based therapeutic applications.
More description
|
|
| DC82301 | IC-8 Featured |
IC8 is an ionizable cationic lipid. It has been used in combination with other lipids for the formation of lipid nanoparticles (LNPs). Immunization with severe acute respiratory coronavirus 2 (SARS-CoV-2) spike glycoprotein mRNA in IC8- and manganese-containing LNPs induces IgG responses to SARS-CoV-2 Delta and Omicron variants in mice.1 Administration of mRNA encoding B7-H3 X CD3 bispecific T cell engaging (BiTE) antibodies in IC8-containing LNPs reduces tumor growth in MV4-11 and A375 mouse xenograft models.
More description
|
|
| DC80070 | A2-Iso5-2DC18 Featured |
A2-Iso5-2DC18 is a top-performing lipid for mRNA delivery in bone marrow-derived dendritic cells (BMDCs), BMDMs and HeLa cells.
More description
|
|
| DC86120 | LIPID 10 Featured |
Lipid 10 is a novel ionizable cationic lipid be used for delivery of therapeutic RNA to the Bone Marrow in Multiple Myeloma Using CD38-Targeted with Lipid 10-LNP.
More description
|
|
| DC60215 | Moderna Lipid 29 Featured |
Lipid 29 is an ionizable amino lipid (pKa = 6.91) from Moderna platform that has been used in combination with other lipids in the formation of lipid nanoparticles (LNPs).Administration of human erythropoietin (EPO) mRNA in lipid 29-containing LNPs increases serum EPO levels in mice.
More description
|
|
| DC74113 | PAANIB-1 Featured |
PAANIB-1 is a brain-penetrant PAAN/MIF nuclease inhibitor that prevents neurodegeneration that prevents neurodegeneration induced by α-syn PFF, AAV-α-syn overexpression, or MPTP intoxication in vivo.
More description
|
|
| DC49908 | OF-02 Featured |
OF-02 (OF-2) is an alkenyl amino alcohol (AAA) ionizable lipid for highly potent in vivo mRNA delivery.Alkenyl amino alcohols (AAA) are a functional group found in sphingosine and other bioactive molecules. It was used to prepare
AAA-based ionizable lipids through ring-opening reactions between alkenyl epoxides (AEs) and polyamine cores. These
AAA-based iLNPs could promote high-level protein expression Therefore, AAA-based ionizable lipids OF-00, OF-01,
OF-02, and OF-03 were prepared. The results of in vivo delivery
of human erythropoietin (hEPO) mRNA showed that the AAA
ionizable lipid OF-02 with the linoleic acid derivative
could effectively deliver hEPO mRNA. Compared with the positive
control CKK-E12, OF-02 showed an increased ability to
induce serum EPO protein expression by nearly twofold
(Figure 7b). Likewise, it outperformed two benchmark ionizable
lipids (503013 and C12-200) in the nucleic acid delivery field.
Furthermore, the mRNA delivered by OF-02 iLNPs was mainly
in vivo.translated into the liver. The liver-targeting ability of OF-02 iLNPs
improves their delivery efficiency. Therefore, the OF-02 iLNPs
may become excellent delivery vehicles for the treatment of liver
diseases without other side effects of damage to other organs
during the treatment
More description
|
|
| DC60475 | CL4F8-6 Featured |
CL4F8-6 is an ionizable cationic lipid (pKa = 6.14) that has been used in combination with other lipids in the formation of lipid nanoparticles (LNPs).1 LNPs containing CL4F8-6 and encapsulating an mRNA reporter accumulate specifically in the mouse liver after intravenous administration. LNPs containing CL4F8-6 and encapsulating mRNA encoding the Cas9 nuclease (mCas9) and single-guide RNA (sgRNA) targeting Ttr (sgTtr), the gene encoding transthyretin, have been used to induce CRISPR-mediated gene knockdown in mice resulting in a reduction of serum levels of TTR.
More description
|
|