Alternate TextTo enhance service speed and avoid tariff delays, we've opened a US warehouse. All US orders ship directly from our US facility.
Home > PROTACs > LYTACs

LYTACs

You can also try the following methods, and our professionals will serve you Customized Consultation
Cat. No. Product Name Field of Application Chemical Structure
DC72546 Tri-GalNAc-NHS ester Featured
Tri-GalNAc-NHS ester is a LYsosome TArgeting Chimera (LYTAC) and a ligand of asialoglycoprotein receptor (ASGPR). ASGPR is a lysosomal targeting receptor specifically expressed on liver cells, for the degradation of extracellular proteins including membrane proteins. Tri-GalNAc-NHS ester can be used as a protein degrader and it can be used for the research of LYTAC.
More description
DC68007 Tris-GalNAc-β-Ala-PEG3-MAL Featured
Tri-b-GalNAc-b-Ala-PEG3-MAL contains three terminal beta-N-acetylgalactosamine (GalNAc) sugars arranged in a trivalent configuration, facilitating high-affinity binding to the asialoglycoprotein receptor (ASGPR) expressed on hepatocyte surfaces. The crucial functional group is a terminal maleimide (MAL) moiety, enabling chemoselective bioconjugation with biomolecules harboring thiol (-SH) groups. This strategy allows for site-specific conjugation under mild conditions, valuable for developing targeted conjugates in disciplines like targeted drug delivery and antibody-drug conjugate (ADC) development for hepatocellular carcinoma.
More description
DC68086 tri-GalNAc biotin Featured
tri-GalNAc biotin is a biotinylated ASGPR (Asialoglycoprotein receptor) ligand. tri-GalNAc biotin promotes cellular uptake of neutravidin (NA) via ASGPR. tri-GalNAc biotin delivers neutravidin to lysosomes for degradation. tri-GalNAc biotin can be used for research of LYsosome TArgeting Chimera (LYTAC).
More description
DC68010 Tri-GalNAc-PEG4-DBCO Featured
Tri-GalNAc-biotin is an asialoglycoprotein receptor (ASGPR) ligand for lysosomal targeting chimera (LYTAC) research and development, comprising a triantennary N-acetylgalactosamine (GalNAc) joined by a PEG linker to DBCO.
More description
DC68014 Tri-GalNAc Acid Featured
Triantennary GalNAc Acid is an asialoglycoprotein receptor (ASGPR) ligand for lysosomal targeting chimera (LYTAC) research and development.
More description
DC68015 tri-GalNAc-PEG3-Azide Featured
tri-GalNAc-PEG3-Azide is a functionalized asialoglycoprotein receptor (ASGPR) ligand for lysosomal targeting chimera (LYTAC) research and development; each molecule incorporates three ASGPR ligands with a PEG3 linker and azide group reactive handle ready for conjugation. Upon binding to the ASGPR, tri-GalNAc conjugates are efficiently internalized via ASGPR-mediated endocytosis. tri-GalNAc conjugation can be employed as a strategy to effectively deliver cargo such as RNA or Cas9 complexes in a cell-specific manner to hepatocytes. Can be used to generate LYTACs, or labeled with dye for tissue imaging.
More description
DC60915 Tri-GalNAc-PEG8-NH2-CH2CH2-NH2-bromoacetyl (Tri-GalNAc-Haloacetyls) Featured
Tri-GaNAc-PEG8-NH2-CH2CH2-NH2-bromoacetyl is a compound that targets the asialoglycoprotein receptor (ASGPR) and is utilized to conjutate with antibody.
More description
DC60914 Tri-GalNAc-PEG8-Gly-Gly-Gly(Tri-GalNAc-G3) Featured
Tri-GaNAc-PEG8-Gly-Gly-Gly is a compound that targets the asialoglycoprotein receptor (ASGPR) and is utilized to conjutate with antibody.
More description
DC68000 Tris-GalNAc-β-Ala-PEG3-NH2 Featured
DC68004 Tris-GalNAc-β-Ala-PEG3-DBCO Featured
Triantennary GalNAc ligand is known to bind Asialo Glycoprotein Receptor (ASGPR). The ligand is functionalized with dibenzocyclooctyne for click chemistry.
More description
DC68003 Tris-GalNAc-β-Ala-PEG4-DBCO Featured
Triantennary GalNAc ligand is known to bind Asialo Glycoprotein Receptor (ASGPR). The ligand is functionalized with dibenzocyclooctyne for click chemistry
More description
DC68002 Tris-β-GalNAc-β-Ala-PEG3-N3 Featured
(β-D-GalNAc-sp)3-NHC(O)-(CH2)2-NHC(O)-PEG3-(CH2)2-N3 Tris-β-D-GalNAc ligands bind with asialoglycoprotein receptors (ASGPR) that are highly expressed on hepatocytes resulting in rapid endocytosis of the ligand along with conjugated payloads
More description
DC68005 Tris-GalNAc-PEG5-sulfo-NHS Ester Featured
An amine-reactive asialo glycoprotein receptor (ASGPR) ligand.
More description
DC60911 ASGPR ligand-1 Featured
ASGPR ligand-1 is a compound that targets the asialoglycoprotein receptor (ASGPR) and is utilized in various disease research contexts .
More description
DC68008 Tris-GalNAc-β-Ala-PEG3-FITC Featured
The trivalent β-GalNAc ligand is specific for Asialo Glycoprotein Receptors (ASGPR) on hepatocyte cells. β-Ala-PEG3 acts as linker/spacer between triantennary GalNAc and Fluorescein isothiocyanate (FITC).
More description
DC68006 Tri-GalNAc-PEG2000-DSPE Featured
Tris-GalNAc-GABA-NH2 linked via PEG2k to phospholipid (DSPE or 1,2-distearoyl-sn-glycero-3-phosphoethanolamine) where GABA = gamma-Aminobutyric acid, or γ-aminobutyric acid.
More description
DC68001 Tris-β-GalNAc-PEG3-Azide Featured
Trivalent β-GalNAc Ligand with discrete, monodisperse, azido-functionalized PEG3 linker/spacer
More description
DC67999 Tris-GalNAc-Ahx-NH2 Featured
DC67998 Tris-GalNAc-β-Ala-NH2 Featured
Tris-GalNAc ligands bind to Ashwell-Morell (also Asialoglycoprotein receptor or ASGPR) receptors and are validated ligands in medicinal chemistry for liver-specific drug delivery.
More description
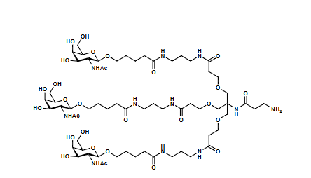
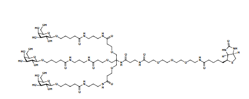
DC67997 Triantennary GalNAc-β-Alanine-PEG3-Biotin Featured
The trivalent β-GalNAc Ligand is specific for Asialo Glycoprotein Receptors on hepatocyte cells. β-Alanine-PEG3 acts as linker/spacer between multivalent GalNAc and biotin.
More description
DC60913 Tri-GalNAc-DBCO Featured
Tri-GalNAc-DBCO is a PIP-GalNAc coupling compound that binds ASGPR to drive protein down-regulation and target compounds for protein degradation via copper-free strain-promoted azide-alkyne cycloaddition coupled to azide on a non-specifically labeled antibody.
More description
DC49350 M-MoDE-A (2) Featured
M-MoDE-A (2) is a bifunctional small molecule that mediates the degradation of extracellular proteins through the asialoglycoprotein receptor (ASGPR).
More description
DC49347 D-MoDE-A (1) Featured
D-MoDE-A (1) is a bifunctional small molecule that mediates the degradation of extracellular proteins through the asialoglycoprotein receptor (ASGPR).
More description
DC67080 Tri-GalNAc(OAc)3-Perfluorophenyl Featured
Tri-GalNAc(OAc)3-Perfluorophenyl is a pentafluorophenyl modified Tri-GalNAc(OAc)3 (HY-148118), a tri-GalNAc ligand that can be used for the synthesis of GalNAc-LYTAC. GalNAc-LYTAC engages the asialoglycoprotein receptor for targeted protein degradation. tri-GalNAc: triantenerrary N-acetylgalactosamine; LYTAC: lysosome-targeting chimera.
More description
DC47877 tri-GalNAc-COOH (acetylation) Featured
tri-GalNAc-COOH acetylation is the acetylated and modified form of tri-GalNAc-COOH. tri-GalNAc-COOH acetylation can be used for the synthesis of LYTAC.
More description
DC67352 C12-Diacid-Tri-GalNAc-COOH Featured
DC72269 Tri-GalNAc(OAc)3 TFA Featured
Tri-GalNAc(OAc)3 TFA is a tri-GalNAc ligand that can be used for the synthesis of GalNAc-LYTAC. GalNAc-LYTAC engages the asialoglycoprotein receptor for targeted protein degradation. tri-GalNAc: triantenerrary N-acetylgalactosamine; LYTAC: lysosome-targeting chimera.
More description
DC65965 Tri-GalNAc(OAc)3 Featured
Tri-GalNAc(OAc)3 is a triantenerrary N-acetylgalactosamine (tri-GalNAc) with an amino group, which is useful precursor for synthesis of GalNAc-LYTAC that engage the asialoglycoprotein receptor for targeted protein degradation. Tri-GalNAc(OAc)3 was first reported in Nat Chem Biol. 2021 Sep;17(9):937-946 (compound ). This product has no formal name at the moment.
More description
DC46965 Tri-GalNAc-COOH Featured
tri-GalNAc-COOH is an asialoglycoprotein receptor (ASGPR) ligand that can be used for LYsosome TArgeting Chimera (LYTAC) research.
More description
DC67351 Tri-GalNAc(OAc)3 Cbz Featured
Tri-GalNAc(OAc)3 Cbz is a ligand for asialoglycoprotein receptor (ASGPR) where the sugars are protected by acetylation and the tris tertiary amine is protected by benzyloxycarbonyloxy (Cbz). This peracetylated tri-GalNAc(OAc)3 Cbz can be serve as a valuable building block for ASGPR-targeted therapies. Its three branches or arms, each ending in a GalNAc sugar, ensure strong binding to hepatocyte ASGPR. However, the key feature lies in its protective groups: acetylated sugars allow for controlled removal to expose reactive sites for conjugation, while the Cbz-protected amine provides stability and can be selectively cleaved to introduce a reactive amine group for further biomolecule attachment, ultimately enabling researchers to tailor tri-GalNAc(OAc)3 Cbz into customized conjugates for specific therapeutic applications.
More description

Customized Consultation X

Your information is safe with us. * Required Fields.

Your name
Company
Email
Procuct Name
Cat. No.
Remark
Verification code
Please fill out the characters in the picture
X