| Cas No.: | |
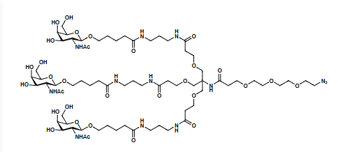
| Chemical Name: | Tris-β-GalNAc-PEG3-Azide |
| Synonyms: | Tri-β-GalNAc-PEG3-N3; (β-D-GalNAc)3-PEG3-N3; (β-D-GalNAc-sp)3-NHC(O)-PEG3-N3 |
| Formula: | C70H125N13O31 |
| M.Wt: | 1644.8 |
| Purity: | >98% |
| Sotrage: | 2 years -20°C Powder, 2 weeks 4°C in DMSO, 6 months -80°C in DMSO |

To enhance service speed and avoid tariff delays, we've opened a US warehouse. All US orders ship directly from our US facility.
