| Cas No.: | |
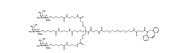
| Chemical Name: | Tris-GalNAc-β-Ala-PEG3-DBCO |
| Synonyms: | Trivalent GalNAc-β-Ala-PEG3-DBCO; (β-D-GalNAc-sp)3-NHC(O)-β-Ala-PEG3-DBCO; Tris-β-GalNAc-β-Alanine-PEG3-Dibenzocyclooctyne; Triantennary β-D-GalNAc triethyleneglycol Dibenzocyclooctyne |
| Formula: | C92H145N13O34 |
| M.Wt: | 1977.20 |
| Purity: | purity>95% |
| Sotrage: | 2 years -20°C Powder, 2 weeks 4°C in DMSO, 6 months -80°C in DMSO |

To enhance service speed and avoid tariff delays, we've opened a US warehouse. All US orders ship directly from our US facility.
