| Cas No.: | |
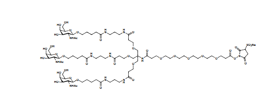
| Chemical Name: | Tris-GalNAc-PEG5-sulfo-NHS Ester |
| Synonyms: | (β-D-GalNAc)3-PEG5-sulfo-NHS Ester; (β-D-GalNAc-sp)3-NHC(O)-PEG5-sulfo-NHS Ester; Triantennary β-D-GalNAc pentaethyleneglycol (PEG5) carboxylic acid N-hydroxysulfosuccinimide ester |
| Formula: | C79H136N11NaO40S |
| M.Wt: | 1935.03 |
| Purity: | purity>95% |
| Sotrage: | 2 years -20°C Powder, 2 weeks 4°C in DMSO, 6 months -80°C in DMSO |

To enhance service speed and avoid tariff delays, we've opened a US warehouse. All US orders ship directly from our US facility.
