| Cas No.: | |
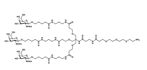
| Chemical Name: | Tris-GalNAc-β-Ala-PEG3-NH2 |
| Synonyms: | Tris-β-D-GalNAc-β-Ala-PEG3-NH2; Triantennary β-D-GalNAc-β-Ala-PEG3-NH2; Tri-β-D-GalNAc-β-Ala-PEG3-NH2; (β-D-GalNAc)3-β-Ala-PEG3-NH2; Tris(β-N-acetylgalactosamine)-β-alanine-triethylene glycol-amine |
| Formula: | C73H132N12O35 |
| M.Wt: | 1689.89 |
| Purity: | purity>95% |
| Sotrage: | 2 years -20°C Powder, 2 weeks 4°C in DMSO, 6 months -80°C in DMSO |

To enhance service speed and avoid tariff delays, we've opened a US warehouse. All US orders ship directly from our US facility.
