| Cas No.: | |
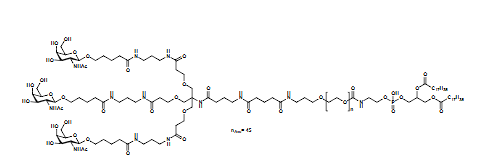
| Chemical Name: | Tri-GalNAc-PEG2000-DSPE |
| Synonyms: | Tris-β-GalNAc-GABA-PEG-Phospholipid; Triantennary β-D-GalNAc-GABA-PEG-phospholipid; (β-D-GalNAc-sp)3-NHC(O)-GABA-PEG2k-phospholipid; 1,2-distearoyl-sn-glycero-3-phosphoethanolamine-N-[tris-GalNAc-GABA-(polyethylene glycol)-2000] |
| Purity: | >98% |
| Sotrage: | 2 years -20°C Powder, 2 weeks 4°C in DMSO, 6 months -80°C in DMSO |

To enhance service speed and avoid tariff delays, we've opened a US warehouse. All US orders ship directly from our US facility.
