Alternate TextTo enhance service speed and avoid tariff delays, we've opened a US warehouse. All US orders ship directly from our US facility.
Home > RNA Delivery > Cationic/Ionizable Lipids > Ionizable Lipids for in vivo CAR

Ionizable Lipids for in vivo CAR

You can also try the following methods, and our professionals will serve you Customized Consultation
Cat. No. Product Name Field of Application Chemical Structure
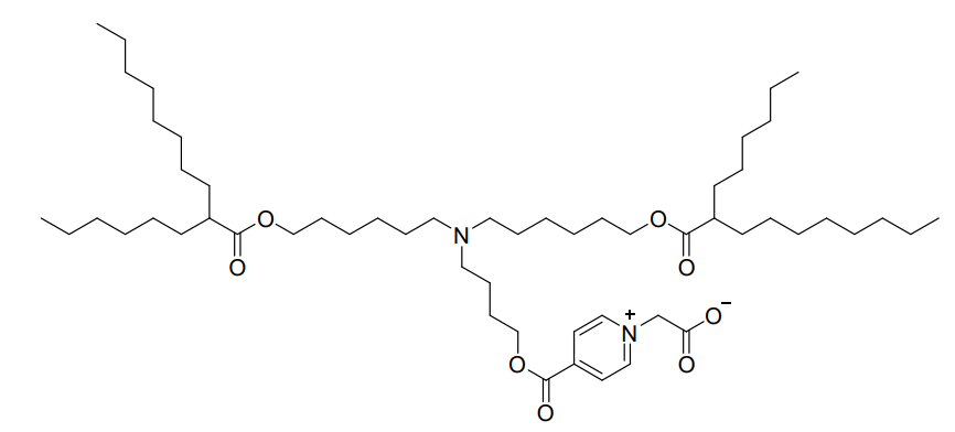
DC67556 Sail Lipid 2308 Featured
Sail Lipid 2308​ is a novel ionizable lipid targeting to spleen developed by Sai Biomedicine.As described on US20250205167A1, Lipid 2308 was designed with a ​​piperidine core​​ (6-membered ring) and asymmetric C17/C11 chains, this lipid achieves unprecedented ​​spleen-specificity​​. It demonstrates dominant spleen accumulation (Spleen RLU: ​​7.8E+06​​, 91.8% of total signal) with a record ​​spleen-to-liver ratio of 112.7​​ (9× higher than 2231). Despite lower protein expression (hEPO: 11,000 ng/mL), near-zero liver uptake (Liver RLU: 66,000) makes Lipid 2308 unparalleled for vaccine/immunotherapy applications targeting splenic immune cells.
More description
DC67555 Sail Lipid 2231 Featured
Sail Lipid 2231 is a novel ionizable lipid targeting to spleen developed by Sai Biomedicine.As described on US20250205167A1 Lipid 2231 features  a ​​pyrrolidine core​​ (5-membered ring) with biodegradable ester linkages and asymmetric C17/C11 hydrophobic chains. In vivo data shows moderate spleen targeting (Spleen RLU: ​​3.8E+06​​) with a spleen-to-liver ratio of ​​12.767​​. 
More description
DC82209 ORNA Lipid 10a-26 Featured
​​Lipid 10a-26​​ is an ionizable lipid developed by Orna Therapeutics for lipid nanoparticle (LNP) formulations. It features a biodegradable ester backbone and an ionizable headgroup, enabling efficient encapsulation and delivery of circular RNA (oRNA). Experimental data show that Lipid 10a-26 mediates robust protein expression in hepatocytes and immune cells (e.g., T cells), with strong liver-targeting specificity observed in vivo. Its optimized hydrolysis profile ensures stable oRNA delivery and reduced immunogenicity. For instance, LNPs formulated with Lipid 10a-26 (molar ratio 50:10:38.5:1.5) demonstrate high transfection efficiency in splenic B cells and sustained therapeutic protein production.The lipid’s design balances efficacy and safety, making it ideal for applications like CAR-T therapy and hepatic protein replacement.
More description
DC67568 ORNA Lipid AX-6 Featured
AX6​​ is an ionizable lipid in the ​​F32 LNP​​ formulation, engineered by ReNAgade/Orna Therapeutics for targeted mRNA delivery to T cells. AX-6's unique ​​bridged bicyclic/polycyclic core​​ with a ​​tertiary amine group​​ enables pH-dependent protonation and endosomal escape, while ​​C14-C18 hydrophobic tails​​ (optionally branched/fluorinated) enhance bilayer stability and mRNA encapsulation. Demonstrating ​​exceptional T-cell tropism​​, AX6 achieves high transfection efficiency in CD4+/CD8+ T cells (validated in NHP/humanized models) with minimal toxicity. Compared to clinical benchmarks (SM-102, ALC-0315), its rigid core offers superior ​​serum stability​​ and ​​immune-cell specificity​​, positioning it as an ideal candidate for ​​CAR-T/NK therapies​​ and ​​next-gen vaccines​​. The F32 LNP system's proven efficacy (e.g., in vivo B-cell depletion) underscores AX 6's transformative potential for ​​cell engineering​​ and ​​immunotherapies​​.
More description
DC67549 ORNA lipid 144(1-C)
ORNA lipid 144​​ is a novel ionizable lipid engineered for splenic RNA delivery developed by ORNA Therapeutics, featuring a biodegradable structure with a protonatable tertiary amine headgroup and ester-linked branched C14 alkyl chains. This design enables exceptional spleen-targeting capability, demonstrated by 3-fold higher luciferase expression in the spleen compared to benchmark lipids and near-complete B-cell depletion when delivering anti-CD19 CAR circRNA. It forms highly stable lipid nanoparticles maintaining homogeneous size (60–80 nm) and low polydispersity across diverse manufacturing conditions and buffer systems. Rapid clearance from the liver and spleen minimizes off-target accumulation, while high circRNA encapsulation efficiency (>90%) and pH-dependent endosomal escape make it ideal for immunotherapies and vaccines requiring precise splenic bioavailability and sustained efficacy.
More description
DC67553 Lipid PL40 Featured
PL-40​​ is a ​​cardiolipin-mimetic ionizable lipid​​ engineered for high-efficiency, antibody-free mRNA delivery to T cells. PL 40 LNPs exhibit a mean particle size of ​​120 nm​​, zeta potential of ​​-5.19 mV​​, and >80% mRNA encapsulation efficiency, with excellent plasma stability (≤5% size change after 6h in serum). Cryo-TEM reveals ​​polyhedral nanoparticles​​ with phase-separated domains, while SAXS confirms tight mRNA packing (d-spacing: ​​~3 nm​​ vs. 6.64 nm in conventional LNPs). AFM demonstrates exceptional rigidity (high bending modulus), enabling T cell-selective uptake via actin-mediated endocytosis (>2× higher than ALC0315 LNPs).In primary human T cells, PL40 LNPs achieve ​​>90% transfection​​ at 0.5 μg mRNA dose and sustain >100× higher luciferase expression than benchmark lipids. When delivering circular RNA, they extend protein expression ​​>5 days​​ with superior spleen tropism (spleen:liver ratio = ​​2.63​​). Crucially, they reprogram T cells into functional CAR-Ts in vivo without antibody conjugation, evading exhaustion markers (no Tim-3/PD-1 upregulation). Therapeutically, PL40-based uPAR-targeted CAR mRNA reduces liver fibrosis (​​collagen↓50%​​, ALT↓50%) and rheumatoid arthritis severity (​​clinical scores↓60%​​) by clearing senescent cells. Humanized anti-uPAR CARs delivered via PL40 show near-complete cytotoxicity (>95%) against uPAR+ cells, underscoring clinical translatability.
More description
DC60879 Lipid te AA3-Dlin Featured
TE AA3-Dlin is an optimized lipid nanoparticle (LNP) carrier designed for mRNA-based cancer immunotherapy, enabling precise in vivo dendritic cell (DC) reprogramming to enhance antitumor immunity. TE AA3-Dlin LNP exhibits superior serum stability, maintaining consistent particle size and low turbidity under physiological conditions, while protecting mRNA from degradation, which is crucial for effective delivery. Functionally, TE AA3-Dlin preferentially targets splenic DCs by leveraging ApoE-enriched protein coronas, facilitating efficient cellular uptake and mRNA expression, as demonstrated by enhanced EGFP signals in DCs.This targeting promotes DC maturation, antigen presentation, and membrane-bound IL-15 expression, activating cytotoxic T lymphocytes (CTLs) for tumor rejection. In models like melanoma and colon carcinoma, it synergizes with checkpoint inhibitors, showing minimal toxicity and robust immunological memory.
More description
DC67995 Lipid 22 Featured
Compound 22, as detailed in United States Patent US 2026/0014089 A1, is a bifunctional ionizable lipid engineered for precision drug delivery. Its structure integrates a monosaccharide targeting headgroup, designed to bind specifically to DC-SIGN receptors on dendritic cells, via a sophisticated linker connected to a biodegradable lipid anchor. This design enables it to serve as a key component of lipid nanoparticles (LNPs), forming a targeted delivery system. By leveraging the specific carbohydrate-receptor interaction, these LNPs are preferentially internalized by dendritic cells, critical for initiating adaptive immune responses. In vivo studies from the patent, such as the biodistribution data shown in Figure 5, confirm effective accumulation in lymphoid tissues like the spleen and lymph nodes. Consequently, this targeted delivery enhances the potency of encapsulated payloads (e.g., mRNA vaccines) by ensuring professional antigen presentation, eliciting a stronger and more specific immune response—evidenced by higher neutralizing antibody titers—making it a powerful tool for next-generation vaccines and therapeutics.
More description
DC60878 Lipid A-12 Featured
Lipid A-12 is an ionizable cationic lipid from Capstan Therapeutics and a close analog of CICL-1 (L829). The structure was modified by the extension of the headgroup linker from a two-carbon (C2) to a three-carbon (C3) spacer compared to CICL-1 (L829).
More description
DC67460 CP-LC-1422
Derived from the natural amino acid homocysteine, CP-LC-1422 is an ionizable cationic lipid that enables robust in vivo delivery of various RNA forms (mRNA, cRNA, and saRNA), driving high protein expression. When formulated into LNPs (50/38.5/10/1.5 molar ratio of ionizable lipid/cholesterol/DOPE/PEG-lipid), it achieves superior spleen-specific targeting compared to commercial options through intravenous administration, while maintaining an excellent safety profile.
More description
DC86601 Lipid 8 Featured
Lipid 8 iLNPs were used to deliver CRISPR-Cas9 mRNA and sgRNA which targeted to the PLK1 gene. The safety and excellent intracerebral diffusion performance of lipid 8 iLNPs ensured that the survival of murine glioblastoma multiforme (GBM) mice was extended. The median survival was extended by approximately 50% and the overall survival was increased by 30%. The treatment of metastatic adenocarcinoma was executed by the EGFRtargeted lipid 8 iLNPs. These iLNPs possessed the ability of tumor targeting, which could increase the accumulation of CRISPR-Cas9 mRNA and sgRNA within the tumor cells. After a single intraperitoneal administration, 80% PLK1 gene was edited and the overall survival of mice with high-grade ovarian cancer malignant ascites was enhanced by 80% . These results demonstrate the clinical potential of CRISPR-Cas9 gene editing system can be delivered by iLNPs for treating tumors, and provide new ideas for tumor gene therapy.
More description
DC49907 5A2-SC8 Featured
5A2-SC8 is a dendrimer for miRNA delivery to late-stage liver tumors with low hepatotoxicity. 5A2-SC8 shows potent EC50 < 0.02 mg/kg (siRNA against FVII (siFVII)) in dose-response experiments, and well tolerated in separate toxicity studies in chronically ill mice bearing MYC-driven tumors. 5A2-SC8 is a degradable lipid-like compound (ester-based dendrimer) for small RNAs delivery.5A2-SC8, was obtained by screening a large library of more than 1500 ester-based dendrimers containing ionizable amino groups, which have three tertiary amine heads and five lipid tails. Based on this library, the in vitro transfection efficiency of different formulations of 5A2-SC8 iLNPs was evaluated, discovering the optimal formulation (5A2-SC8, DOPE, cholesterol, PEG at a molar ratio of 15:15:30:3) of 5A2-SC8 iLNPs for delivering fumarylacetoacetate hydrolase (FAH) mRNA to liver.After the intravenous injection via tail, the model mice of hepatorenal tyrosinemia type I had strong FAH protein expression, which prevented body weight loss and increased the survival rate of hepatorenal tyrosinemia mice . In addition to introducing utility of 5A2-SC8 iLNPs for the therapeutic intervention, the 5A2-SC8 iLNPs containing DOTAP have been used to establish complex mouse models via intravenous injection, including in situ liverspecific cancer model and in situ lung-specific cancer model. Based on this iLNPs delivery system, 5A2-SC8 induced model construction method overcomes the time-consuming and costly disadvantages of traditional animal models establishing methods, including transgenesis and gene engineering in embryonic stem cells.
More description
DC67990 4A3-LNSC8​ Featured
4A3-LNSC8​ is a strategically designed thiourea-functionalized ionizable lipid that serves as the foundational core for a novel anion-coordination delivery platform. Its structure features a central 4A3 amine headgroup symmetrically extended with four hydrophobic tails, each incorporating a biodegradable ester linkage and a key thiourea-bridged linker. The inclusion of the thiourea group is the pivotal innovation, as it provides specific hydrogen-bonding sites capable of interacting with various halide anions (F⁻, Cl⁻, I⁻). When formulated into lipid nanoparticles (LNPs) without anion coordination, 4A3-LNSC8 itself exhibits a characteristic liver tropism, efficiently delivering mRNA to hepatocytes following systemic administration, with a measured surface pKa of approximately 5.54. However, its primary significance lies in its role as a versatile precursor. The strong anion-binding capability of its thiourea linkers allows for predictable modulation of the LNP's properties. Upon binding with anions like Cl⁻, the resulting complex (e.g., Cl-4A3-LNSC8) undergoes a significant pKa shift, which reprograms the LNP's in vivo fate, redirecting mRNA delivery from the liver to secondary lymphoid organs such as the spleen and lymph nodes. Thus, 4A3-LNSC8 is not merely an efficient ionizable lipid but a programmable scaffold that enables precise control over organ-targeting specificity through simple anion coordination, offering a powerful rational design strategy for advanced mRNA therapeutics.
More description
DC53130 93-O17S Featured
93-O17S is an imidazole-based synthetic lipidoid for in vivo mRNA delivery. Lipid nanoparticles (LNPs) with 93-O17S promotes both the cross-presentation of tumor antigens and the intracellular delivery of cGAMP (STING agonist).
More description
DC67281 BNT-51 Featured
BNT-51 is an ionizable thiolipid developed by Biontech, characterized by its sulfur-containing moieties and a multiarm dendron-like architecture. Synthesized via reactions between amine-containing compounds and sulfur-based halides or sulfonates, it forms stable lipid nanoparticles (LNPs) optimized for mRNA delivery. The LNPs exhibit uniform particle size (80–100 nm, PDI <0.2), near-neutral zeta potential, and high mRNA encapsulation efficiency (>90%), while maintaining payload integrity through freeze-thaw cycles and extended storage. In vitro, BNT-51 demonstrates low cytotoxicity (>80% cell viability in C2C12, HepG2, and HEK293 cells) and superior transfection efficiency compared to conventional lipids, particularly in immune cells such as CD4+/CD8+ T cells within PBMCs. Its modular design allows integration of stealth lipids (e.g., PEG or vitamin E derivatives) to prolong circulation time and minimize immune activation, as evidenced by low hemolysis and complement activation risks. In vivo, BNT-51-based LNPs enable targeted mRNA delivery to splenic macrophages, achieving potent genome editing (e.g., Cre mRNA) and therapeutic protein expression (e.g., BACH1) in preclinical models. With its tunable structure, robust stability, and cell-specific tropism, BNT-51 holds promise for advancing mRNA therapeutics in gene editing, cancer immunotherapy, and regenerative medicine, offering a versatile platform for next-generation nanomedicine.
More description
DC60494 76-O17Se
76-O17Se is a lipidoid for the efficient delivery of antiCD19 mRNA CAR to murine primary macrophages. 76-O17Se is more efficient than delivery with lipofectamine 2000 (LPF2K) or MC3
More description
DC60578 TE-EP8-S
TE-EP8-S is a single-component, ionizable cationic lipid designed specifically for the targeted delivery of mRNA to T cells within the spleen. This innovative lipid formulation enhances the efficiency and precision of mRNA-based therapies by ensuring optimal cellular uptake and expression in immune cells. Its unique structure and properties make it a promising tool for advancing immunotherapeutic applications.
More description
DC60495 9322-O16B Featured
9322-O16B is a lipidoid for the efficient delivery of antiCD19 mRNA CAR to murine primary macrophages. LNP 9322-O16B is more efficient than delivery with lipofectamine 2000 (LPF2K) or MC3.
More description
DC67544 HCQ Lipid 4(HCQ-4)
HCQ-4​​ is a rationally engineered ionizable lipid derived from hydroxychloroquine (HCQ), featuring a ​​ditetradecylamine-derived twin-C14 saturated hydrocarbon tail​​ linked to the HCQ headgroup via a ​​succinic acid spacer​​. Synthesized through a three-step route involving HCQ deprotonation, ditetradecylamine carboxylation, and EDC/DMAP-mediated amidation, this lipid forms the core of optimized lipid nanoparticles (LNPs) at a molar ratio of ​​60:10:40:0.5 (HCQ-4:DOPE:cholesterol:DMG PEG2000)​​. The structure enables dual functionality: (1) ​​Spleen-selective mRNA delivery​​ (2.3-fold higher splenic vs. hepatic transfection) via 80-100 nm particle size, near-neutral charge (-3 mV), and low PEG density, facilitating immune cell uptake; (2) ​​Tumor microenvironment modulation​​ through HCQ-mediated repolarization of M2 macrophages to antitumor M1 phenotype (iNOS+ cells ↑2.5-fold, CD206+ cells ↓60%). This bifunctional design synergistically enhances mRNA cancer vaccine efficacy, demonstrating superior prophylactic/therapeutic antitumor activity and antimetastatic effects compared to clinical benchmarks like MC-3 LNP.
More description
DC67450 A28-C6B2
A28-C6B2 is an ionizable lipid (pKa 6.43) designed for mRNA encapsulation in lipid nanoparticles (LNPs). Following intravenous injection in mice, these LNPs exhibit spleen-selective accumulation, particularly localizing in F4/80+ macrophages and CD11c+ dendritic cells, with moderate uptake by T lymphocytes.
More description
DC80065 113-O12B Featured
113-O12B is a disulfide bond-containing ionizable cationic lipidoid. 113-O12B LNP, an LN-targeting LNP delivery system, is developed for a mRNA cancer vaccine. The 113-O12B/mRNA shows enhanced expression in APCs compared with ALC-0315/mRNA, indicating the LN-specific targeting ability.
More description
DC67989 Cl-4A3-LNSC8 Featured
Cl-4A3-LNSC8​ represents a novel class of thiourea-functionalized ionizable lipids engineered for selective organ-targeted mRNA delivery. Its core innovation lies in an anion-coordination strategy, where the parent lipid, 4A3-LNSC8, binds chloride ions (Cl⁻) via hydrogen-bonding interactions with its thiourea groups. This binding event is not merely structural but functionally critical, as it induces a significant shift in the surface pKa of the resulting lipid nanoparticles (LNPs) from approximately 5.54 to 8.79. This pKa modulation is the key mechanism that redirects the organotropism of the LNPs upon systemic administration. While the unmodified 4A3-LNSC8 LNPs preferentially deliver mRNA to the liver, Cl-4A3-LNSC8 LNPs effectivelyreprogram this tropism, enabling highly efficient mRNA delivery to secondary lymphoid organs (SLOs), particularly the spleen and lymph nodes. This platform demonstrates remarkable efficacy, achieving up to 65.7% gene editing efficiency in splenic macrophages in vivo, significantly outperforming benchmark delivery systems. Furthermore, by leveraging the coordination with different halides, such as iodine for computed tomography (CT) contrast, the system can be adapted for dual-modal theranostic applications, enabling simultaneous lymphatic metastasis imaging and therapeutic mRNA delivery.
More description
DC60537 C18 NC-TNP Featured
NC-TNP (noncationic thiourea lipids nanoparticles) could compress mRNA by strong hydrogen bonds interaction between thiourea groups of NC-TNP and the phosphate groups of mRNA. NC-TNP could escape the recycling pathway to inhibit the egress of internalized nanoparticles from the intracellular compartment to the extracellular milieu. NC-TNP-encapsulated mRNA shows higher gene transfection efficiency in vitro and in vivo than mRNA-LNP formulation. NC-TNP also shows spleen targeting delivery ability with higher accumulation ratio (spleen/liver), compared with traditional LNP.The C18 non-cationic thiourea lipid self-assembles into ~100 nm nanoparticles with neutral surface charge, utilizing strong hydrogen bonding between its thiourea groups and mRNA phosphate groups for efficient mRNA complexation. This delivery system demonstrates significantly enhanced EGFP expression efficiency—2.3-fold higher than standard C6/C12 formulations—in DC2.4, B16, and 4T1 cells, while sustaining luciferase activity for over 20 days post-subcutaneous injection. It exhibits exceptional stability, maintaining >94% mRNA integrity and <10% particle size variation after 30-day lyophilized storage. Importantly, the nanoparticles show pronounced spleen-targeting capability with 20-fold greater accumulation in the spleen versus liver, effectively activating twice the level of antigen-specific CD8⁺ T cells. Critically, the system avoids cationic lipid-associated toxicity, inducing no detectable IL-6/CXCL10 inflammation and causing no histopathological damage in cardiac or splenic tissues, thus establishing a novel high-efficacy, low-toxicity mRNA delivery platform.
More description
DC67812 CL15F 6-4 Featured
CL15F 6-4 is a short-tail ionizable lipid from the piperidine-based CL15F series, characterized by its symmetric branched structure with a 6-carbon main chain and 4-carbon side chain. This specific tail length critically determines the lipid nanoparticle's (LNP) properties, resulting in larger particles with a high surface density of the phospholipid DSPC. This elevated DSPC density reduces interactions with serum proteins like ApoE, minimizing rapid liver clearance and shifting mRNA delivery preference towards the spleen. Consequently, CL15F 6-4 LNPs achieve efficient, endogenous spleen-targeted delivery, making them a highly promising candidate for enhancing vaccine efficacy by preferentially transfecting antigen-presenting cells without complex functionalization.
More description
DC60711 CL15F 9-5 Featured
CL15F 9-5, a piperidine-based ionizable lipid, exhibits favorable properties for mRNA delivery in lipid nanoparticles (LNPs). Its apparent pKa ranges between 6.24–7.15, ideal for mRNA encapsulation and endosomal escape. LNPs formulated with CL15F 9-5 (50:38.5:10:1.5 molar ratio of ionizable lipid:cholesterol:DSPC:DMG-PEG2k) demonstrated high mRNA encapsulation efficiency (>90%) and maintained physicochemical stability (size, PDI, zeta potential) during storage at 4°C for 5 months . In vitro, CL15F 9-5 LNPs showed superior luciferase expression in HEK-293T cells compared to CL4F-based LNPs. In vivo, liver-targeted LNPs delivered hEPO mRNA effectively, with sustained serum hEPO levels post-storage. Intravenous administration of FLuc mRNA-loaded CL15F 9-5 LNPs yielded strong hepatic bioluminescence, confirming liver tropism. As a vaccine candidate, CL15F 9-5 induced robust antigen-specific cellular immunity in mice, with a 14-fold increase in IFN-γ spots compared to SM-102. Its enhanced stability is attributed to reduced aldehyde impurities, minimizing mRNA-lipid adduct formation.
More description
DC67601 Sanofi Lipid 15 Featured
Lipid 15, as disclosed in US Patent US 20250381150 A1 assigned to Genzyme Corporation, is an ionizable lipid used in lipid nanoparticles (LNPs) for targeted nucleic acid delivery. It features a specific structure that enables efficient encapsulation and transfection of mRNA into cells such as immune cells and hematopoietic stem cells. Experimental data show that LNPs containing Lipid 15 achieve over 80% transfection efficiency with sustained protein expression, outperforming other lipids.
More description
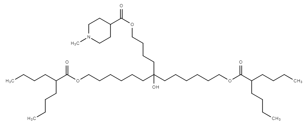
DC60910 CL15F 7-5 Featured
CL15F 7-5 is a piperidine-based ionizable lipid from the CL15F library, characterized by a symmetrically branched tail structure with a 7-carbon main chain and a 5-carbon side chain. This moderate tail length positions it between short-tail (e.g., CL15F 6-4) and long-tail (e.g., CL15F 14-12) variants, granting it a unique balance in mRNA delivery properties. Its LNPs exhibit optimized organ selectivity, enabling significant mRNA expression in both the spleen and muscle, as demonstrated by in vivo luciferase assays following intravenous and intramuscular administration. This lipid structure facilitates a favorable DSPC surface density on LNPs, which moderates interactions with serum proteins like ApoE, thereby reducing rapid hepatic clearance and promoting extrahepatic delivery. In vaccine applications, CL15F 7-5 LNPs encapsulating SARS-CoV-2 RBD mRNA elicited robust anti-RBD IgG titers and neutralizing antibodies in mice, outperforming the clinically benchmarked SM-102 lipid. The piperidine headgroup further contributes to storage stability by minimizing the generation of aldehyde impurities that can form mRNA-lipid adducts. Consequently, CL15F 7-5 represents a versatile lipid for developing stable, spleen-targeted mRNA vaccines and therapeutics, leveraging tail-length engineering for enhanced efficacy without complex formulation changes.
More description
DC67605 PyCB lipid (MeDZ) Featured
PyCB lipid (MeDZ) is a rationally designed zwitterionic ionizable lipid that serves as a core functional component in the novel three-component (ThrCo) lipid nanoparticle (LNP) platform. It is synthesized by covalently attaching a zwitterionic PyCB structure to the hydroxyl group of the clinically available ionizable lipid ALC-0315.Its key feature is its pH-responsive behavior. At physiological pH (~7.4), the PyCB headgroup exhibits zwitterionic properties, forming charge-assisted hydrogen bonds with water molecules (PyCB-H₂O complexes). This confers high hydrophilicity to the LNP surface, enhancing stability in aqueous environments and reducing nonspecific protein adsorption in the bloodstream. This zwitterionic surface effectively mimics and replaces PEGylated lipids, thereby avoiding PEG immunogenicity and the associated Accelerated Blood Clearance (ABC) effect upon repeated administrations.Crucially, in the acidic environment of endosomes (pH ~6.5), the PyCB group undergoes strong protonation, rapidly transforming into a cationic state (PyCB-H₃O⁺ complexes). This promotes efficient fusion with and disruption of the endosomal membrane, facilitating the escape and cytoplasmic release of encapsulated mRNA.By replacing both cholesterol and PEGylated lipids in traditional LNPs, PyCB lipid enables the redirection of LNP biodistribution from the liver to the spleen, achieving superior spleen-specific mRNA translation and enhancing antigen presentation for potent immune activation.
More description
DC80080 OF-C4-Deg-Lin Featured
OF-C4-Deg-Lin is a novel ionizable lipid for RNA delivery. OF-C4-Deg-Lin LNPs entrapping mRNA coding for luciferase induce the majority of protein expression in the spleen, with minimal translation in the liver, and negligible translation in other organs. OF-C4-Deg-Lin LNPs entrapping mRNA coding for luciferase induce the majority of protein expression in the spleen, with minimal translation in the liver, and negligible translation in other organs. To improve the mRNA delivery to extrahepatic tissues, a series of degradable diketopiperazine-based ionizable lipids were synthesized. Through evaluating the mRNA functional activity delivered by iLNPs, it was found that the ionizable lipids with doubly unsaturated lipid tails and linkers containing a length of four carbon aliphatic chain (Of-C4-Deg-Lin) could deliver the mRNA more efficiently. Moreover, compared with cKK-E12 and Invivofectamine, Of-C4-Deg-Lin could specifically induce more than 85% of firefly luciferase expression in spleen,minimal expression in the liver, and insignificant expression in other tissues.
More description
DC99010 Capstan lipid CICL-1(L829) Featured
CICL1 (L829)​​ is a ​​novel ionizable cationic lipid​​ specifically engineered for ​​targeted lipid nanoparticles (tLNPs)​​ that enables efficient in vivo delivery of mRNA payloads to ​​CD8+ T cells​​. Designed to overcome limitations of conventional LNPs, CICL-1 (L-829)​​significantly ​​reduces off-target delivery to the liver​​ and exhibits ​​rapid clearance​​ compared to benchmark lipids like ALC-0315, while demonstrating ​​enhanced biodegradability and tolerability​​ in rodent and primate models. When incorporated into CD8-targeted tLNPs, CICL 1 (L829 enables ​​preferential transfection of CD8+ T cells​​ over other immune subsets, facilitating the generation of functional ​​anti-CD19 or anti-CD20 CAR T cells directly *in vivo​​*. These tLNP-engineered CAR T cells mediate ​​rapid, deep B-cell depletion​​ in humanized mice and cynomolgus monkeys, with repopulating B cells exhibiting a naïve phenotype suggestive of immune reset. By eliminating the need for ex vivo manufacturing or lymphodepleting chemotherapy, the L829-tLNP platform represents a ​​safer, scalable approach​​ for accessible CAR T therapy in oncology and autoimmune diseases.
More description

Customized Consultation X

Your information is safe with us. * Required Fields.

Your name
Company
Email
Procuct Name
Cat. No.
Remark
Verification code
Please fill out the characters in the picture
X