Alternate TextTo enhance service speed and avoid tariff delays, we've opened a US warehouse. All US orders ship directly from our US facility.
Home > RNA Delivery > Cationic/Ionizable Lipids

Cationic/Ionizable Lipids

In the past five years, DC Chemicals has focused on research and development in the RNA delivery field, successfully developing over 500 cationic lipid structures and maintaining an inventory of over 200 cationic lipids. We collaborate with leading gene delivery companies and research institutions worldwide, and our products and services have received widespread acclaim.
DC Chemicals has accumulated substantial experience in the synthesis of lipids, particularly for highly complex lipid molecules. Our unique chemical synthesis and purification processes often circumvent patented and literature-reported routes, allowing us to design new synthetic routes that yield lipid molecules with higher purity than those reported in literature and patents. Our representative molecules, such as LP-01, SM-102, ALC-0315, and DLIN-MC3-DMA, have purities exceeding 98% as tested by CAD-HPLC, placing them among the top purity products available.We have the capability to scale production from grams to kilograms.


Cationic ionizable lipids play a major role in the LNP formulation and its ability to transfect target cells with its cargo. The ionizable lipids are used to complex negatively charged nucleic acid cargo. The mRNA-cationic lipid complex fuses with the cell membrane and is then delivered into the cytosol. To be able to play these roles efficiently, a cationic ionizable lipid must be engineered with a suitable apparent acid dissociation constant (pKa). The apparent pKa of a cationic ionizable lipid is the likely pKa at the LNP surface. Currently, the cationic ionizable lipids in FDA-approved therapeutics all have an apparent pKa between 6-7. This is crucial for the cationic ionizable lipid to maintain a neutral charge while in systemic circulation (pH above the pKa of the lipid, pH ~7.5), as well as its ability to become positively charged in the endosome (pH ~6.5) and facilitate membrane fusion and subsequent cytosolic release.
You can also try the following methods, and our professionals will serve you Customized Consultation
Cat. No. Product Name Field of Application Chemical Structure
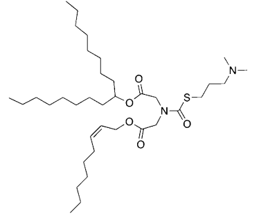
DC60839 A2T2C9 (CP-LC-1465)
A2T2C9 (CP-LC-1465) is an imidazole-based ionizable lipid with branched hydrophobic chains and β-propionate linkers, formulated in four-component LNPs for spleen-targeted mRNA delivery. It achieves >80% spleen selectivity with protein expression exceeding 1×10⁷ p/s in mice, driven by its negative zeta potential (-9.7 to -19 mV). Structural features including imidazole polar head and branched acrylate (C9) enhance splenic tropism, potentially through distinct protein corona interactions. Demonstrated low cytotoxicity (>75% viability in splenic cells) and biodegradability via pH-sensitive linkers enable efficient mRNA delivery without permanent charged additives, outperforming conventional anionic SORT systems in selectivity and therapeutic potential.
More description
DC60494 76-O17Se
76-O17Se is a lipidoid for the efficient delivery of antiCD19 mRNA CAR to murine primary macrophages. 76-O17Se is more efficient than delivery with lipofectamine 2000 (LPF2K) or MC3
More description
DC89101 C12-4 (Lipid A-4) Featured
C12-4 (C12-494,Lipid A-4) is a branched-chain ionizable cationic lipidoid that has been used in the formation of lipid nanoparticles (LNPs) for the delivery of mRNA. LNPs containing lipid A4 and encapsulating an mRNA reporter accumulate in the uterus, placenta, and ovaries, as well as to the spleen and liver, in pregnant mouse dams unlike LNPs containing the branched-chain ionizable cationic lipidoid C12-200, which primarily accumulate in the liver. Intravenous administration of LNPs containing lipid A4 and encapsulating mRNA encoding VEGF increase placental VEGFR1 levels and mean fetal blood vessel area without inducing liver damage in pregnant mouse dams.
More description
DC89030 SM-102 IMPURITY 1
DC67444 GalNAc Lipid 1005 Featured
GalNAc Lipid 1005 is a trivalent GalNAc-lipid conjugate designed for ASGPR-mediated hepatic delivery. It features a lysine-based scaffold covalently linked to three GalNAc moieties via a ​44-unit PEG spacer, anchored by a ​1,2-O-dioctadecyl-sn-glyceryl (DSG) lipid tail.
More description
DC67443 GalNAc Lipid 1002 Featured
GalNAc Lipid 1002 is a trivalent GalNAc-lipid conjugate designed for ASGPR-mediated hepatic delivery. It features a lysine-based scaffold covalently linked to three GalNAc moieties via a ​12-unit PEG spacer, anchored by a ​1,2-O-dioctadecyl-sn-glyceryl (DSG) lipid tail.
More description
DC67522 AZD Lipid 17 Featured
Lipid 17 is a novel, highly potent ionizable lipid designed for mRNA delivery within lipid nanoparticles (LNPs) developed by AstraZeneca . Its structure features a secondary amine head group attached to a cyclic ether moiety (specifically, the 2-oxaspiro[3.3]heptan-6-amine head group). It possesses an asymmetric tail architecture: one tail is derived from heptadecan-9-ol (a branched C17 secondary alcohol), while the other tail is a modified nonyl chain (C9) with a key ethyl branch at the 3-position. The linker connecting the head group to the tails has a length equivalent to n=3 (three methylene units) as defined in the study. This specific combination of the secondary amine cyclic ether head group, asymmetric tails, and the ethyl branch at the 3-position of the nonyl chain proved critical for its exceptional performance. When formulated into LNPs and administered intravenously in mice, Lipid 17 demonstrated a remarkable 6-fold increase in functional protein (eGFP) expression in the liver compared to the benchmark lipid MC3, with high statistical significance (P < 0.0001). This makes Lipid 17 one of the most active lipids identified in the study and a promising candidate for liver-targeted mRNA therapeutics.​​ 
More description
DC67298 Lipid 5D8 Featured
Lipid 5D8 is a novel biodegradable ionizable lipid (IL) developed through a combinatorial chemistry strategy to overcome the limitations of conventional lipid nanoparticles (LNPs) in mRNA delivery. Synthesized via a one-step, solvent-free Michael addition reaction between amine and thiol monomers, 5D8 features asymmetric lipid tails and a biodegradable ester backbone, ensuring both structural versatility and reduced toxicity. In preclinical studies, 5D8-based LNPs demonstrated exceptional liver-targeting efficiency and mRNA delivery performance. A single intravenous dose (1 mg/kg) achieved 61% CRISPR-Cas9-mediated editing of the TTR gene in mice, reducing serum TTR protein by 90%, outperforming benchmark lipids like C12-200 (51% editing). Moreover, 5D8 enabled efficient delivery of base editors (ABE8.8 and CBE4max), achieving 42% PCSK9 editing (74% serum protein reduction) and correcting hereditary tyrosinemia in mice, significantly extending survival. Beyond gene editing, 5D8 LNPs effectively delivered siRNA (complete serum TTR clearance at 0.05 mg/kg) and enhanced hepatocyte targeting by enriching apolipoprotein E on particle surfaces. Crucially, 5D8 exhibited superior biocompatibility with no hepatotoxicity (normal ALT/AST levels), contrasting traditional LNPs. Its rapid biodegradability and "plug-and-play" design make 5D8 a versatile platform for mRNA therapeutics, holding broad potential for treating genetic disorders, cardiovascular diseases, and beyond. This innovation represents a critical advancement toward safer, high-efficiency clinical translation of gene-editing therapies.L
More description
DC67281 BNT-51 Featured
BNT-51 is an ionizable thiolipid developed by Biontech, characterized by its sulfur-containing moieties and a multiarm dendron-like architecture. Synthesized via reactions between amine-containing compounds and sulfur-based halides or sulfonates, it forms stable lipid nanoparticles (LNPs) optimized for mRNA delivery. The LNPs exhibit uniform particle size (80–100 nm, PDI <0.2), near-neutral zeta potential, and high mRNA encapsulation efficiency (>90%), while maintaining payload integrity through freeze-thaw cycles and extended storage. In vitro, BNT-51 demonstrates low cytotoxicity (>80% cell viability in C2C12, HepG2, and HEK293 cells) and superior transfection efficiency compared to conventional lipids, particularly in immune cells such as CD4+/CD8+ T cells within PBMCs. Its modular design allows integration of stealth lipids (e.g., PEG or vitamin E derivatives) to prolong circulation time and minimize immune activation, as evidenced by low hemolysis and complement activation risks. In vivo, BNT-51-based LNPs enable targeted mRNA delivery to splenic macrophages, achieving potent genome editing (e.g., Cre mRNA) and therapeutic protein expression (e.g., BACH1) in preclinical models. With its tunable structure, robust stability, and cell-specific tropism, BNT-51 holds promise for advancing mRNA therapeutics in gene editing, cancer immunotherapy, and regenerative medicine, offering a versatile platform for next-generation nanomedicine.
More description
DC67524 Nitto Lipid 19 Featured
Lipid 19 is an engineered cationic lipid designed to optimize the delivery of RNA within lipid nanoparticles (LNPs) developed by Nitto. Its unique structure—featuring a dual-hydroxyl headgroup and tailored hydrophobic chains—enables highly efficient encapsulation of these fragile genetic payloads, protecting them from degradation. The resulting LNPs exhibit exceptional stability (<100 nm size), target the liver specifically for enhanced therapeutic impact, and support applications ranging from mRNA vaccines to gene-silencing therapies. This makes lipid 19 a pivotal advancement in precision nanomedicine for liver-related disorders.​
More description
DC60545 200Oi10 Featured
​​200Oi10​​ is an ionizable lipidoid used in lipid nanoparticles (LNPs) for RNA delivery. Structurally, it features ester-conjugated cleavable lipid tails, enhancing biodegradability and reducing toxicity compared to non-cleavable analogs. Preclinical studies show that 200Oi10-based LNPs primarily accumulate in the liver (97.7%) after intravenous administration. However, intraperitoneal injection redirects biodistribution, achieving 46.4% pancreatic uptake, which can be further amplified by incorporating cationic lipids like DOTAP. This unique tropism enables pancreas-targeted mRNA delivery. 200Oi10's ester linkages promote rapid clearance, improving biocompatibility while maintaining siRNA/mRNA delivery efficiency. Its design exemplifies the use of degradable lipidoids to balance organ specificity, efficacy, and safety in RNA therapeutics.
More description
DC60800 18-2-9b2 Featured
18-2-9b2 is a dendron-like degradable ionizable lipid which facilitates mRNA delivery to splenic macrophages. 18-2-9b2 LNP encapsulating therapeutic BTB domain and CNC homologue 1 (BACH1) mRNA exhibited proficient BACH1 expression and subsequent Spic downregulation in splenic red pulp macrophages (RPM) in a Spic-GFP transgene model.
More description
DC60843 CF3-2N6-UC18 Featured
CF3-2N6-UC18​​ is a rationally designed chloroquine-inspired ionizable lipid that enables robust mRNA delivery and genome editing. It integrates three modular components: a 7-trifluoromethyl-substituted quinoline scaffold (mimicking chloroquine’s endosomolytic properties), a hexamethylenediamine linker with two ionizable nitrogen atoms (pH-responsive protonation), and two unsaturated oleyl (C18:1) hydrophobic tails (enhancing membrane fusion and nanoparticle stability). This lipid self-assembles into ecoLNPs (endosomolytic chloroquine-like lipid nanoparticles) with spherical morphology (~200 nm diameter, 98% mRNA encapsulation). Its pH-sensitive activity triggers endosomal escape through dual mechanisms: ​​proton sponge effect​​ (buffering endo-lysosomal pH) and ​​saposin B-mediated membrane disruption​​ (molecular docking confirms chloroquine-like binding to lysosomal saposin B). In vitro, ecoLNPs outperform commercial reagents (18.9-fold higher mRNA delivery than Lipofectamine 2000) and penetrate 3D cell models. They resist serum/RNase degradation and retain >90% activity after 7-day storage at 4°C. In vivo, ecoLNPs achieve tissue-specific mRNA expression via multiple routes (intravenous, intramuscular, etc.), with strong lymph node tropism (90.2% after intramuscular injection) comparable to SM-102 LNPs (Moderna’s COVID-19 vaccine carrier). They mediate efficient Cre mRNA-driven recombination and CRISPR-Cas9 editing in transgenic mice. CF3-2N6-UC18’s modular design, stability, and dual endosomal escape strategies position it as a versatile platform for mRNA vaccines, gene therapy, and genome editing applications.
More description
DC60842 Lipid H7T4-4 Featured
H7T4-4 is an ionizable lipid designed for mRNA delivery via lipid nanoparticles (LNPs). It features a cyclic amine headgroup (derived from cyclen tetrahydrochloride) and four C14 hydrophobic alkyl tails, synthesized through a Michael addition reaction between cyclen and 1,2-epoxytetradecane. With a high transition temperature (Tm = 58.6°C) due to strong intermolecular interactions from its cyclic headgroup and multi-tail structure, H7T4-4 alone forms rigid aggregates incompatible with mRNA encapsulation. However, when blended with low-Tm helper lipids (e.g., DOPE, Tm = -16°C), the system’s overall Tm decreases, enabling stable LNP formation. Optimized formulations (20% H7T4-4, 41% DOPE, 38% cholesterol, 1% DMG-PEG) exhibit efficient mRNA encapsulation (>90%) and transfection. Structural analyses (SAXS, cryo-TEM) confirm monodisperse LNPs with lamellar/hexagonal phases. In vivo, H7T4-4 LNPs show tumor-targeted and intranasal mRNA delivery with reduced off-target accumulation compared to SM-102-based LNPs. This rational design highlights Tm-guided helper lipid selection to overcome rigidity challenges in ionizable lipids.
More description
DC60579 Lipid B3 Featured
Lipid B3 is a biodegradable ionizable lipid for liver targeted delivery. Lipid B3-LNP shows high delivery efficacy and low toxicity in delivering RNA to liver cells.
More description
DC67531 ATX-129(ATX-0129,10q)
ATX-129 is a novel ionizable lipid used in the formulation of lipid nanoparticles (LNPs) for the delivery of RNA developed by Arcturus.
More description
DC67535 ATX-106
ATX-106 is a novel ionizable lipid used in the formulation of lipid nanoparticles (LNPs) for the delivery of RNA developed by Arcturus.
More description
DC67533 ATX-132
ATX-132 is a novel ionizable lipid used in the formulation of lipid nanoparticles (LNPs) for the delivery of RNA developed by Arcturus.
More description
DC67532 ATX-111
ATX-111 is a novel ionizable lipid used in the formulation of lipid nanoparticles (LNPs) for the delivery of RNA developed by Arcturus.
More description
DC67530 HY-501​​ Featured
HY-501​​ is a next-generation cationically ionizable lipid engineered for high-efficiency RNA delivery developed by Biontech. Formulated at ​​40–50 mol%​​ in lipid nanoparticles (LNPs) alongside DSPC, cholesterol, and polysarcosine-conjugated lipid ​​C14pSar23​​, HY-501 yields uniform, stable particles (80–100 nm) with >90% RNA encapsulation. It demonstrates ​​superior in vivo performance​​: driving 2-fold higher protein expression than benchmark lipids (EA-405/HY-405) in muscle tissue, minimizing off-target liver accumulation, and reducing immunogenic risks (near-zero complement activation and <5% hemolysis). Preclinically, HY-501-based LNPs encoding SARS-CoV-2 spike protein elicit potent neutralizing antibodies and T-cell responses, underscoring its utility in precision vaccines. Its combination of scalable synthesis, exceptional transfection efficiency, and biosafety establishes HY-501 as a transformative vector for therapeutic RNA delivery.
More description
DC67541 Yoltech lipid 4
Yoltech lipid 4​​, a highly efficient ionizable lipid disclosed in patent PCT/CN2023/116607, features a central tertiary amine group flanked by hydrophobic tails—specifically, a bis(2-ethylhexyl) core and a linoleyl (C18:2) chain linked via ester bonds. This structure enables pH-responsive behavior critical for mRNA/LNP delivery: neutral in circulation (reducing toxicity) but protonated in endosomes to facilitate membrane disruption and payload release. In murine studies targeting liver PCSK9, Compound 4 achieved ​​~90% gene-editing efficiency​​. Its optimized formulation yields LNPs of ​​70–150 nm​​ with >​​90% encapsulation​​, ideal for hepatocyte-specific delivery.
More description
DC67539 Lipid CS22021
CS22021 is a novel, synthetically engineered ionizable sterol lipid (ISL) developed by CanSino, specifically designed for advanced mRNA delivery via lipid nanoparticles (LNPs). Its core innovation lies in its unique molecular architecture, which integrates a cholesterol moiety directly conjugated to a branched aliphatic tail (derived from ALC-0315) and a hydrophilic headgroup containing tertiary amines. This bifunctional design allows CS22021 to simultaneously fulfill the roles of both the ionizable lipid (for mRNA binding/encapsulation and endosomal escape) and the structural cholesterol component within LNPs. Consequently, CS22021 enables the formulation of highly efficient three-component LNPs (ISL-3C-LNPs), eliminating the need for free cholesterol, using only itself, the phospholipid DOPE (crucial for forming stable, uniform nanoparticles without defects), and a PEGylated lipid. When formulated into LNPs and administered intramuscularly, CS22021 demonstrates a critical property: it achieves localized mRNA expression predominantly at the injection site, significantly minimizing off-target delivery (especially to the liver/spleen) and associated systemic toxicity. Furthermore, mRNA vaccines delivered by CS22021-based LNPs elicit robust and balanced immune responses, including strong antigen-specific IgG antibodies and, notably, a significantly enhanced CD8+ T cell response compared to conventional four-component LNPs. This combination of efficient mRNA encapsulation/delivery, localized expression for improved safety, and potent induction of cellular immunity, particularly CD8+ T cells, positions CS22021 as a highly promising lipid platform, especially for next-generation mRNA vaccine applications like cancer immunotherapy.
More description
DC67543 ATX L2
L2 is a redox-responsive lipid engineered for ​​ultra-potent siRNA delivery​​. With shorter hexyl (C6) tails and a carbamate linker, it demonstrates the ​​fastest biodegradation​​ (liver half-life: 2.6 days) among tested lipids. L2 achieves >80% FVII gene knockdown at just 0.01 mg/kg—surpassing both L1 and MC3 in siRNA potency. Its higher apparent pKa (6.90) enhances endosomal disruption, correlating with strong in vitro hEPO expression. While slightly less effective for mRNA than L1, L2’s unmatched siRNA silencing efficiency, rapid cytosolic self-immolation, and low cytotoxicity position it as a leading candidate for RNAi therapeutics targeting hepatic diseases.
More description
DC60502 GalNAc Lipid GL6(GalNAc Lipid 1004) Featured
GL6 is a trivalent GalNAc-lipid conjugate designed for ASGPR-mediated hepatic delivery. It features a lysine-based scaffold covalently linked to three GalNAc moieties via a ​36-unit PEG spacer, anchored by a ​1,2-O-dioctadecyl-sn-glyceryl (DSG) lipid tail. This structure balances ligand accessibility (via optimized PEG length) and nanoparticle stability (via hydrophobic DSG anchoring). Compared to GL3 (TRIS scaffold, same PEG length), GL6’s simplified lysine scaffold improves manufacturability. In LDLR-deficient models, GL6 enabled ​61% liver editing (vs. 5% with standard LNPs) at 2 mg/kg, demonstrating superior ASGPR targeting. Its design minimizes ligand crowding (0.05 mol% surface density) while maximizing endosomal escape and durable gene editing.
More description
DC67552 MeTis Lipid 5
MeTis Lipid 5 is an ​​ionizable lipid​​ featuring a ​​pyrazole-based headgroup​​ and biodegradable ​​C8-ester twin tails​​ developed by MeTis Pharmaceuticals​​ (Patent CN118290339B)​​. It demonstrated ​​breakthrough in vivo efficacy​​ (7.08E+10 photons, luciferase assay), ​​surpassing MC3 lipid by 8.8-fold​​ in systemic mRNA delivery. The molecule achieves optimal ​​safety-profile​​ (96.4% cell viability) and ​​encapsulation efficiency​​ (96.4%), forming LNPs of ​​108.9 nm (PDI 0.17)​​ at N/P 6. Its ester-enabled rapid metabolization and balanced hydrophobicity position lipid 5 as a candidate for next-gen mRNA therapeutics.
More description
DC67551 Lipid CDL9
CDL9​​ is an original cyclic disulfide lipid first designed, synthesized, and functionally validated in the study "In Vivo Demonstration of Enhanced mRNA Delivery by Cyclic Disulfide-Containing Lipid Nanoparticles for Facilitating Endosomal Escape" published in ​​RSC Medicinal Chemistry​​ (DOI: 10.1039/D5MD00084J).Its molecular architecture—featuring a ​​C18:2 di-unsaturated alkyl chain​​ linked to a tertiary amine headgroup modified with an α-lipoic acid-derived cyclic disulfide unit—was explicitly detailed in the paper's lipid library. Experimental data from this study demonstrated CDL9’s capacity to boost mRNA delivery efficiency by 6-fold in vitro and 5-fold in vivo when integrated into SM102-based LNPs, leveraging thiol-disulfide exchange for enhanced endosomal escape.
More description
DC67409 Galnac Lipid 83 Featured
Galnac Lipid 83 is developed by Prime Medicine Patent: WO2024220807.Galnac Lipid 83 83 is a GalNAc-conjugated lipid designed for targeted liver delivery. It features a triantennary GalNAc ligand linked via a PEG spacer (e.g., -(CH2CH2O)n-) to a branched hydrophobic tail (C18 alkyl chains). The structure includes amide/ester bonds for stability and a stereospecific configuration (R/S) to optimize ASGPR receptor binding. Integrated into lipid nanoparticles (LNPs), it enhances hepatic uptake of nucleic acids (e.g., mRNA, gene editors) by leveraging ASGPR-mediated endocytosis. Its design balances hydrophilicity (PEG) and lipophilicity (alkyl chains) for efficient encapsulation and in vivo delivery, supporting therapeutic applications in liver-specific gene editing or RNA therapies.
More description
DC67554 MeTis Lipid 1
MeTis Lipid 1 is an ionizable lipid featuring a pentacyclic core with geminal dimethyl groups and symmetrical C9 alkyl chains developed by Metis Pharm. According to Patent WO 2025/140421 A1, Lipid 1 demonstrated exceptional biological performance including: the highest SARS-CoV-2 neutralization titer (NT50 1:2146, 5.7-fold higher than ALC0315), potent humoral immunity with COVID-19 IgG titers reaching 1:1,000,000 post-boost and exclusive validation for VZV-gE IgG (1:1,000,000), favorable biophysical properties (124.5 nm LNP diameter, 0.2 PDI, 85% encapsulation efficiency), and excellent safety profile (hERG IC₅₀ >30 μM, Mini-Ames negative), establishing it as the lead compound in nucleic acid vaccine delivery.
More description
DC67408 Galnac Lipid 29 Featured
Galnac Lipid 29 is from Prime Medicine Patent: WO2024220807. Compound 29 is a GalNAc-functionalized lipid featuring a tripartite structure: an N-acetylgalactosamine (GalNAc) targeting moiety for ASGPR-mediated liver uptake, a flexible PEG-based linker (e.g., ethylene glycol repeats), and dual C18 alkyl chains for lipid nanoparticle (LNP) integration. Its design includes stereospecific amide/urethane bonds (R/S configurations) to optimize stability and ligand orientation. Preclinical data demonstrate enhanced prime editing efficiency (>2-fold vs controls) in hepatocytes at low doses, attributed to improved endosomal escape and payload release. The compound enables liver-specific delivery of CRISPR systems while minimizing off-target accumulation, with <5% activity in non-hepatic cells.
More description
DC67563 S-Ac7-DOg Featured
S-Ac7-DOg​​ is an ​​ionizable lipid​​ engineered for optimized mRNA delivery to the retina, featuring a ​​sulfur-based ester bond​​ (S-Ac) and ​​dual oleyl glyceride chains​​ (DOg). Its pKa (~6.74) is finely tuned to enhance ​​endosomal escape​​ in acidic environments, enabling efficient cytosolic mRNA release. Unlike traditional lipids (e.g., C12-200, MC3), S-Ac7-DOg incorporates ​​biodegradable ester linkages​​ that hydrolyze intracellularly, minimizing lipid accumulation and reducing innate immune activation. In vitro, S-Ac7-DOg LNPs achieved >80% transfection efficiency in retinal cells (ARPE-19, MIO-M1) with ​​negligible cytokine secretion​​, outperforming MC3 and rivaling C12-200 while avoiding the latter’s high immunogenicity. In vivo, intravitreal delivery in mice showed ​​robust protein expression​​ in the optic nerve head (ONH) and Müller glia (75–100% of eyes), sustained for ≥7 days. Critically, it induced the ​​lowest immunogenicity​​ among tested lipids: minimal leukocyte infiltration (<1.5-fold vs. PBS), no microglial reactivity, and reduced GFAP upregulation.
More description

Customized Consultation X

Your information is safe with us. * Required Fields.

Your name
Company
Email
Procuct Name
Cat. No.
Remark
Verification code
Please fill out the characters in the picture
X