Alternate TextTo enhance service speed and avoid tariff delays, we've opened a US warehouse. All US orders ship directly from our US facility.
Home > RNA Delivery > Cationic/Ionizable Lipids > Clinical-stage ionizable lipids

Clinical-stage ionizable lipids

You can also try the following methods, and our professionals will serve you Customized Consultation
Cat. No. Product Name Field of Application Chemical Structure
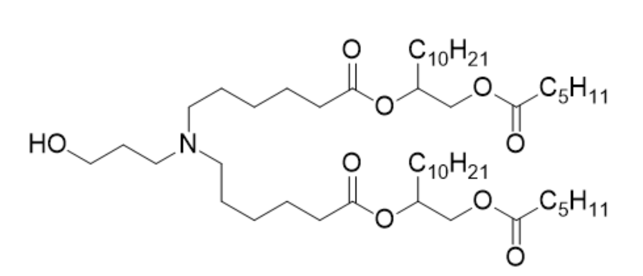
DC67983 XH-07 Featured
XH-07 is an innovative ionizable cationic lipid that forms the backbone of the JCXH-211 lipid nanoparticle (LNP) delivery system. This complex is engineered to encapsulate and deliver self-replicating RNA (srRNA) encoding interleukin-12 (IL-12), a potent immunostimulatory cytokine. The LNP formulation featuring XH-07 exhibits optimal physicochemical properties, such as a mean particle size of approximately 82.12 nm with low polydispersity, and a near-neutral zeta potential around -3.181 mV, which facilitates stable circulation and efficient cellular uptake upon intravenous administration. Upon delivery, the srRNA leverages the host cell's machinery to produce sustained levels of IL-12p70, as demonstrated in B16F10 tumor-bearing mice, where a single dose led to peak cytokine production in sera and tumors. This induced IL-12 expression activates T cells and NK cells, generating a robust antitumor response. In murine models of melanoma and breast cancer, JCXH-211 monotherapy resulted in significant tumor regression and complete responses in some subjects, and it synergized with anti-PD-1 therapy to enhance efficacy. Importantly, the safety profile was acceptable, with transient liver enzyme elevations in mice that normalized quickly, and no significant adverse events in cynomolgus monkeys after repeated dosing, as evidenced by stable clinical observations and pathology tests. Thus, XH-07 is pivotal for enabling the safe and effective delivery of IL-12 encoding RNA, positioning JCXH-211 as a promising cancer immunotherapy.
More description
DC67602 ILB-3132(E12LA6B603) Featured
E12LA6B603(ILB3132,ILB-3132) is a novel ionizable amino lipid disclosed in patent WO2024198497A1, developed by MagicRNA, representing a highly efficient component for lipid nanoparticle (LNP) delivery systems.When formulated into LNPs, E12LA6B603 LNP achieves a remarkable 98.26% encapsulation efficiency for mRNA. It mediates superior in vitro transfection in dendritic cells (1.8E+05 intensity) and demonstrates best-in-class in vivo protein expression after intramuscular injection (2.2E+09 intensity). Most notably, in a B16-OVA melanoma model, therapeutic OVA-mRNA vaccines delivered by E12LA6B603 LNPs induced 100% complete tumor regression, highlighting its superior efficacy over benchmarks like DLin-MC3 and SM-102. Its biodegradable ester linkages and balanced structure make it a promising, potent candidate for next-generation mRNA vaccines and therapeutics.
More description
DC99010 Capstan lipid CICL-1(L829) Featured
CICL1 (L829)​​ is a ​​novel ionizable cationic lipid​​ specifically engineered for ​​targeted lipid nanoparticles (tLNPs)​​ that enables efficient in vivo delivery of mRNA payloads to ​​CD8+ T cells​​. Designed to overcome limitations of conventional LNPs, CICL-1 (L-829)​​significantly ​​reduces off-target delivery to the liver​​ and exhibits ​​rapid clearance​​ compared to benchmark lipids like ALC-0315, while demonstrating ​​enhanced biodegradability and tolerability​​ in rodent and primate models. When incorporated into CD8-targeted tLNPs, CICL 1 (L829 enables ​​preferential transfection of CD8+ T cells​​ over other immune subsets, facilitating the generation of functional ​​anti-CD19 or anti-CD20 CAR T cells directly *in vivo​​*. These tLNP-engineered CAR T cells mediate ​​rapid, deep B-cell depletion​​ in humanized mice and cynomolgus monkeys, with repopulating B cells exhibiting a naïve phenotype suggestive of immune reset. By eliminating the need for ex vivo manufacturing or lymphodepleting chemotherapy, the L829-tLNP platform represents a ​​safer, scalable approach​​ for accessible CAR T therapy in oncology and autoimmune diseases.
More description
DC82209 ORNA Lipid 10a-26 (TFA salt) Featured
​​Lipid 10a-26​​ is an ionizable lipid developed by Orna Therapeutics for lipid nanoparticle (LNP) formulations. Lipid 10a-26 is a key ionizable lipid in the LNP-6 formulation. Through structural modification, it exhibits reduced binding to ApoE proteins and lowered liver affinity compared to traditional ionizable lipids. Instead, Lipid 10a-26 demonstrates strong splenic tropism—in non-human primate studies, it effectively delivers payloads to the spleen and immune cells in peripheral blood, such as T cells, NK cells, and macrophages, enabling the possibility of "in vivo CAR-T" therapy. Its pKa is tuned to approximately 6.0–6.5, allowing rapid protonation in the acidic endosomal environment, which promotes endosomal membrane disruption and efficient cytosolic release of circular RNA.
More description
DC60683 Lipid-168 Featured
LIPID168(pKa ~6.5) ​​ is an optimized ionizable lipid engineered for in vivo mRNA delivery to hematopoietic stem cells (HSCs) in bone marrow. Developed by ​​Yoltech Therapeutics​​ through high-throughput screening of lipid libraries, it features a ​​diethylamino head group​​ and a tailored hydrophobic tail structure that enables antibody-free targeting. When Lipid 168 was formulated into lipid nanoparticles (LNPs), it achieved ​​48.5% base editing efficiency​​ in bone marrow cells —surpassing benchmarks like LIPID-028 (19.7%)—and reduced off-target liver editing from 71% to 19% by incorporating ​​miR-122 target sequences​​. In humanized β-thalassemia models, LNP 168 delivered ABE8e mRNA/sgRNA to patient-derived HSCs, yielding ​​42.6% editing at the HBG promoter​​, reactivating fetal hemoglobin (γ-globin) and rescuing erythroid defects . Its bone marrow specificity is driven by a unique ​​protein corona​​ enriched in albumin, fibronectin, and fibrinogen . Safety studies confirmed transient immune responses and no cumulative toxicity . LIPID-168 represents a promising non-viral platform for curative gene therapies in blood disorders.
More description
DC31024 SM-86(Lipid 5) Featured
SM86 is a cationic, ionizable lipid developed by Moderna as a core component of its lipid nanoparticle (LNP) platform for mRNA therapeutic delivery.SM-086 is structurally optimized and analogous to SM-102 (used in Moderna’s COVID-19 vaccines), with modifications aimed at enhancing mRNA delivery efficiency and safety.SM-86 serves as the primary cationic lipid in three investigational mRNA therapies targeting rare metabolic disorders:mRNA-3927: Restores propionyl-CoA carboxylase activity in propionic acidemia (PA). mRNA-3705: Delivers methylmalonyl-CoA mutase mRNA for methylmalonic acidemia (MMA). mRNA-3210: Provides phenylalanine hydroxylase mRNA to treat phenylketonuria (PKU).
More description
DC67546 ALC-0307 Featured
ALC 0307 is an ionizable amino lipid developed by Acuitas Therapeutics, serving as the critical functional component in lipid nanoparticles (LNPs) for targeted therapeutic delivery. As the core cationic lipid in specific LNP formulations (e.g., k-abe for CPS1-Q335X correction), its key feature is pH-dependent chargeability: it remains neutral at physiological pH but becomes positively charged in acidic environments like endosomes. This property enables efficient encapsulation of nucleic acid payloads (>97% efficiency, e.g., base editor mRNA/gRNA complexes) and facilitates endosomal escape via membrane disruption post-cellular uptake.​​ Its optimized structure promotes selective hepatocyte targeting by binding endogenous apolipoprotein E (ApoE), which subsequently interacts with LDL receptors on liver cells. Preclinical studies show rapid clearance (>99.5% plasma reduction in 14 days) and manageable transient toxicity (mild, reversible cytoplasmic vacuolation in hepatocytes, short-term ALT/AST elevation). LNPs containing ALC0307, alongside helper lipids (cholesterol, DSPC, and PEG-lipid ALC-0159), form stable ~73 nm particles with low polydispersity. This combination enables repeatable, liver-directed delivery of gene editing therapeutics with minimized off-target effects, underpinning its use in individualized in vivo gene correction therapies.
More description
DC52025 SM-102 Featured
SM-102 is an ionizable amino lipid that has been used in combination with other lipids in the formation of lipid nanoparticles.Administration of luciferase mRNA in SM-102-containing lipid nanoparticles induces hepatic luciferase expression in mice. Formulations containing SM-102 have been used in the development of lipid nanoparticles for delivery of mRNA-based vaccines.
More description
DC58046 C12-200 Featured
C12-200 is a well-known cationic lipid used in the formulation of lipid nanoparticles (LNPs) for the delivery of therapeutic nucleic acids, including siRNA, mRNA, and CRISPR components. It is widely recognized for its high in vivo potency at low doses and is often used as a positive control ionizable lipid in research exploring new ionizable lipids.
More description
DC49882 CKK-E12 Featured
CKK-E12 is a ionizable lipid in combination with other lipids make up the lipid nanoparticles which are used to deliver RNA-based therapeutics. cKK-E12 was highly selective toward liver parenchymal cell in vivo.Multitail lipids usually have three or more tails and tend to form more cone-shaped structures due to the increase of tail crosssection, which enhances the endosome escape and mRNA delivery efficiency.CKK-E12 is an ionizable lipid with four lipid tails and diketopiperazine core-based head. It has shown excellent efficiency in delivering CRISPR-Cas9 mRNA and sgRNA.cKK-E12 iLNPs encapsulated mRNA was used to investigate the effect of Toll-like receptor 4 (TLR4) on iLNPsmediated mRNA delivery, and it has been demonstrated that the targeting, safety and efficacy of iLNPs are closely related to disease state. In other words, even though iLNP delivers therapeutic mRNA to a given cell type in one disease state, it is not guaranteed to deliver mRNA to the same cell type in another disease. As same as MC3 and C12-200, CKK-E12 is also used to be a positive control ionizable lipid when exploiting new ionizable lipids.
More description
DC57046 ATX-126(ATX-0126, lipid 10p) Featured
ATX-126(ATX-0126, 10p) is an ionizable cationic lipid (pKa = 6.38).It has been used in the generation of lipid nanoparticles (LNPs) for the delivery of siRNA. Intravenous administration of LNPs containing ATX-126(ATX-0126, 10p) and encapsulating Factor VII siRNA decrease Factor VII blood levels in mice.
More description
DC10800 DLin-MC3-DMA Featured
D-Lin-MC3-DMA(MC3) is the most potent cationic lipid that has been synthesized for Lipid nanoparticles (LNPs) to deliver the siRNA.
More description
DC31000 LP-01 Featured
LP-01 is an ionizable cationic amino lipid (pKa = ~6.1). It has been used in the generation of lipid nanoparticles (LNPs). LNPs containing LP-01 and encapsulating both Cas9 mRNA and modified single-guide RNA (sgRNA) for the transport protein transthyretin (Ttr) induce gene editing in liver cells in mice in a dose-dependent manner resulting in reduced serum Ttr levels for at least 12 months.
More description
DC67538 XH-04 Featured
XH-04 ​​is an ionizable lipid engineered for advanced mRNA delivery developed by ​​JiaChen West Lake Biotech. Its core structure features a central benzene ring with asymmetric hydrophobic tails (C9-C10 chains) and pH-responsive tertiary amines that enable efficient mRNA encapsulation and endosomal escape. As detailed in CN113993839A, XH04 outperforms industry benchmarks (e.g., MC3 lipid), boosting protein expression by ​​>10-fold​​ in BHK cells. In PCT/CN2024/121624, JiaChen further demonstrated its utility in lung-targeted LNPs (tLNP/tLCNP). When combined with cationic lipids (e.g., DOTMA at 2:1 molar ratio), XH 04 redirects >80% of mRNA delivery to murine lungs—overcoming liver tropism—while maintaining low toxicity. The lipid’s benzenic core and optimized alkyl chain geometry (patent claims 1-9) are credited for enhanced endosomal disruption and mRNA release kinetics. JiaChen’s innovations position XH-04 as a cornerstone for next-generation mRNA therapeutics.
More description
DC60478 ALC-0366 Featured
ALC 0366 is an ionizable cationic lipid (pKa = 6.25) from Biontech,which is derived from ALC-0315. ALC0366 has been used as a key component of LNP to deliver BNT142, a lipid nanoparticle (LNP)-formulated RNA (RNA-LNP) encoding a T cell-engaging bispecific antibody that monovalently binds the T cell marker CD3 and bivalently binds claudin 6 (CLDN6), an oncofetal antigen that is absent from normal adult tissue but expressed on various solid tumors.
More description
DC59126 Genevant CL1 (lipid 10) Featured
Genevant CL1 (lipid 10) is a novel ionizable lipid for rna delivery.Lipid 10 rapidly accumulated in the liver within the first hour of dosing (reflecting LNP uptake), but levels then steadily declined over the ensuing 2 weeks period, similar to MC3.Lipid 10 afforded more than double the expression of either approved lipid. We also observed high splenic expression for ALC-0315, which correlated with higher MCP-1 levels.Animals received a single 5 µg IM dose of LNP encapsulating firefly luciferase (fLuc) mRNA. Whole body imaging was performed 6 h later and expression at the injection site quantified. Lipid 10, ALC-0315, and SM-102 showed similar expression at the injection site, all greater than the older generation benchmarks lipids (DLinDMA, KC2, MC3). Lipid 10 and ALC-0315 also showed high expression in the liver, while SM-102 was less, and more similar to MC3.Lipid 10-based LNP reported similar anti-HA IgG titers to MC3 and ALC-0315 (Comirnaty) LNP, and higher than the SM-102 (SpikeVax) LNP composition. MCP-1 levels were generally similar, although the ALC-0315 composition had a significantly higher response at the 5 µg dose. All formulations reported good stability when stored frozen at −80 °C or at 2–8 °C for 1 month.
More description
DC59217 Arcturus lipid 2(ATX-0114) Featured
Lipid 2,2(8,8) 4C CH3 is an ionizable cationic lipid (pKa = 6.69).1 It has been used in the generation of lipid nanoparticles (LNPs) for the delivery of siRNA in vivo. LNPs containing lipid 2,2(8,8) 4C CH3 and encapsulating siRNA targeting Factor VII decrease plasma Factor VII protein levels by 90% in mice.
More description
DC67537 DM3-BTA-14​​ Featured
​​DM3-BTA-14​​ is a cationic lipid compound engineered for high-efficiency mRNA delivery developed by Hefei AlphaNA Biotechnology. Its structure features a rigid benzene-1,3,5-tricarboxamide core linked to a protonatable dimethylamino headgroup (-N(CH₃)₂) via a propylene spacer (-CH₂CH₂CH₂-) and two saturated C14 alkyl chains. This design enables ≈90% endosomal escape efficiency , superior lymph node targeting for vaccines , and effective tumor-specific mRNA delivery . It outperforms benchmark lipids while maintaining low cytotoxicity, forming stable nanoparticles with cholesterol/DSPC/DSPE-PEG (50:39:10:1 ratio) for therapeutic applications.
More description
DC67536 Lipid A1-EP10-O18A
A1-EP10-O18A​​ is an ​​asymmetric ionizable lipid​​ developed by Starna Therapeutics for mRNA vaccine delivery. Synthesized via Michael addition between amine alcohols and acrylates, its optimized structure—combining a hydrophilic C10 chain and hydrophobic unsaturated C18 tail—enables pH-dependent ionization. As the core component of the ​​STAR0225 lipid nanoparticle (LNP)​​ platform, it efficiently encapsulates mRNA and facilitates endosomal escape. Preclinical studies demonstrate superior in vivo mRNA delivery (vs. commercial SM102 LNPs), with enhanced local biodistribution and minimal off-target accumulation. This lipid underpins ​​STR-V003​​, an RSV prefusion F mRNA vaccine showing robust immunogenicity and protection in animal models, supporting its clinical transition (NCT06344975).
More description
DC60856 DMA4-H228 Featured
DMA4-H228 is a novel, biodegradable lipidoid specifically engineered for spleen-targeted mRNA delivery.​​ Its structure combines a dimethylamino (DMA4) headgroup with a unique hyperbranched lipid tail (H228) synthesized via Michael addition, incorporating ester bonds for enhanced biodegradability. This design enables the formation of stable lipid nanoparticles (LNPs) (~170 nm) with high mRNA encapsulation efficiency (>96%). Critically, DMA4-H228 exhibits exceptional intrinsic tropism for the spleen (>98% targeting efficiency after IV administration), requiring no external targeting ligands. It selectively delivers mRNA to splenic antigen-presenting cells (APCs), including dendritic cells, macrophages, and B cells. This triggers potent immune activation: rapid IFNα secretion, upregulation of APC maturation markers (CD86/CD40), and robust antigen-specific immune responses. Demonstrating significant therapeutic potential, DMA4-H228-based mRNA vaccines effectively inhibit tumor growth in melanoma models (e.g., B16F10-OVA). This correlates with increased tumor-infiltrating CD8⁺ T cells, a shift towards pro-inflammatory M1 macrophages, elevated antigen-specific antibodies (IgG), and strong T cell responses (evidenced by IFNγ⁺ spots). Its ability to bypass liver tropism and directly activate splenic APCs makes DMA4-H228 a powerful platform for next-generation mRNA vaccines and cancer immunotherapy.
More description
DC57100 Acuitas A9 Featured
Lipid A9 is an ionizable cationic lipid (pKa = 6.27) that has been used in the generation of lipid nanoparticles (LNPs) for the delivery of mRNA and siRNA in vivo. LNPs containing lipid A9 and encapsulating non-stimulatory siRNA increase plasma levels of chemokine (C-C motif) ligand 2 (CCL2), indicating activation of the innate immune response, and decrease body weight in mice.
More description
DC42537 ALC-0315 Featured
ALC-0315 is an ionisable aminolipid that used for mRNA compaction and aids mRNA cellular delivery. ALC-0315 can be used to form lipid nanoparticle (LNP) delivery vehicles.
More description

Customized Consultation X

Your information is safe with us. * Required Fields.

Your name
Company
Email
Procuct Name
Cat. No.
Remark
Verification code
Please fill out the characters in the picture
X