Alternate TextTo enhance service speed and avoid tariff delays, we've opened a US warehouse. All US orders ship directly from our US facility.
Home > RNA Delivery > Cationic/Ionizable Lipids > Ionizable Lipids for brain-targeted delivery

Ionizable Lipids for brain-targeted delivery

You can also try the following methods, and our professionals will serve you Customized Consultation
Cat. No. Product Name Field of Application Chemical Structure
DC60934 Lipid P3B Featured
P3B is a biodegradable ionizable lipid engineered to function as a highly efficient delivery vehicle for genome-editing machinery (e.g., CRISPR-Cas9 and adenine base editors) specifically to the central nervous system (CNS). Its primary function is to encapsulate and transport large mRNA payloads across the brain-CSF interface following intrathecal administration, enabling robust and widespread gene editing in neurons and astrocytes across multiple brain regions, including the hippocampus, cortex, and thalamus. Notably, it facilitates precise single-nucleotide correction via base editing. Its targeting is intrinsically achieved by the intrathecal injection route, which localizes the nanoparticles within the cerebrospinal fluid, coupled with an optimized formulation that promotes efficient uptake and activity within CNS parenchyma while minimizing off-target exposure in peripheral organs.
More description
DC67569 Lipid S4 Featured
Lipid S4 is an advanced ionizable lipid engineered for systemic mRNA delivery to the brain, leveraging SR-57227—a high-affinity 5-HT3 receptor ligand—as its core head group to enable targeted blood-brain barrier (BBB) penetration via receptor-mediated transcytosis, while incorporating amino linkers for pH-responsive ionization and biodegradable branched ester tails to facilitate efficient endosomal escape and intracellular mRNA release; optimized through orthogonal screening into OS4 LNP (formulated at S4/DOPE/Chol/DMG-PEG2k = 40:40:60:0.75 molar ratio), it demonstrated a 13.3-fold increase in brain mRNA expression compared to FDA-approved MC3 LNPs, and further conjugation with the Tat cell-penetrating peptide yielded OS4T LNP, boosting delivery efficiency by 12.7-fold over OS4 alone and enabling broad mRNA expression across neurons, astrocytes, microglia, and endothelial cells; validated in orthotopic glioblastoma models, OS4T delivered engineered IL-12 mRNA, suppressing tumor growth and extending median survival to 37 days (vs. 17 days for controls) with minimal systemic toxicity, positioning S4-based LNPs as a robust, translatable platform for CNS-targeted therapeutics.
More description
DC60918 C14-306 Featured
C14-306 is a rationally designed ionizable lipid for brain targeting delivery, characterized by a linear 3,3'-diamino-N-methyldipropylamine (306) core conjugated with tetradecyl (C14) tails. This specific architectural configuration, synthesized via epoxide ring-opening amination, yields a molecular structure that optimally balances hydrophobic character and protonation capacity. The C14 alkyl chains enhance membrane integration and LNP stability, while the multiamine core facilitates efficient mRNA complexation and pH-dependent endosomal disruption. When formulated into LNPs with standard helper lipids (DOPE, cholesterol, DMG-PEG2000), C14-306-based nanoparticles exhibit favorable physicochemical properties, including a monodisperse size distribution near 110 nm and high mRNA encapsulation efficiency (>84%). High-throughput in vivo barcoding screening identified C14-306 LNPs as lead candidates for brain delivery, demonstrating a significant tropism for neuronal cells over liver tissue. In validation studies, LNPs incorporating C14-306 achieved a 6.9-fold increase in luciferase mRNA transfection in the mouse brain compared to the SM-102 benchmark, coupled with a substantial reduction in hepatic off-target expression. Flow cytometry confirmed preferential transfection of NeuN+ neurons, and safety assessments indicated no significant blood-brain barrier compromise or induction of systemic inflammation. The efficacy of C14-306 is attributed to its tailored pKa, promoting extended circulation and enhanced endosomal escape within brain cells. C14-306 represents a promising platform for systemic mRNA therapeutics targeting neurological disorders.
More description
DC86601 Lipid 8 Featured
Lipid 8 iLNPs were used to deliver CRISPR-Cas9 mRNA and sgRNA which targeted to the PLK1 gene. The safety and excellent intracerebral diffusion performance of lipid 8 iLNPs ensured that the survival of murine glioblastoma multiforme (GBM) mice was extended. The median survival was extended by approximately 50% and the overall survival was increased by 30%. The treatment of metastatic adenocarcinoma was executed by the EGFRtargeted lipid 8 iLNPs. These iLNPs possessed the ability of tumor targeting, which could increase the accumulation of CRISPR-Cas9 mRNA and sgRNA within the tumor cells. After a single intraperitoneal administration, 80% PLK1 gene was edited and the overall survival of mice with high-grade ovarian cancer malignant ascites was enhanced by 80% . These results demonstrate the clinical potential of CRISPR-Cas9 gene editing system can be delivered by iLNPs for treating tumors, and provide new ideas for tumor gene therapy.
More description
DC82025 306-O12B-3 Featured
306-O12B-3 is an ionizable lipidoid with cationic properties, commonly used in lipid nanoparticle (LNP) formulations for antisense oligonucleotide (ASO) delivery. When administered intravenously in mice, LNPs incorporating 306-O12B-3 exhibit liver-specific accumulation. Studies show that ASO-loaded LNPs containing 306-O12B-3 effectively silence hepatic PCSK9 expression by targeting the proprotein convertase subtilisin/kexin type 9 gene. Additionally, when combined with the cationic lipidoid NT1-O14B (Item No. 37095), these LNPs can deliver tau-targeting ASOs to the brain, reducing tau protein levels in mice.
More description
DC67521 Lipid TD5 Featured
TD5 is a brain-targeting lipid nanoparticle (BLNP) engineered for efficient mRNA delivery to the central nervous system (CNS) via intrathecal injection. It incorporates a tryptamine-derived ionizable lipid headgroup, myristic acid hydrocarbon tails, and a biodegradable carbonate ester linker, enabling pH-dependent mRNA encapsulation (81.7% efficiency) and brain cell-specific targeting. With a hydrodynamic diameter of 107.5 nm, near-neutral pKa (7.30), and mild positive charge, TD 5 demonstrates superior CNS tropism through serotonin receptor (5-HT1A)-mediated endocytosis. In vitro, TD-5 achieved 80.8% GFP expression in SH-SY5Y neuronal cells, outperforming MC3 LNPs by 50-fold. Following intrathecal administration in mice, TD-5 mediated GFP expression in 29.6% of neurons and 38.1% of astrocytes brain-wide, with 10-fold higher CNS specificity than peripheral organs. Genome editing studies showed TD5-delivered Cas9/sgRNA induced tdTomato activation in ≈30% of neurons and 40% of astrocytes across key brain regions. Safety profiling revealed minimal systemic immune responses (lower IL-6, IL-12p40 vs MC3 LNPs), normal hepatic/renal biomarkers, and no histopathological toxicity. The optimized structure balances myristic chain hydrophobicity for membrane interaction, ionizable amines for mRNA complexation, and tryptamine-mediated targeting for enhanced CNS uptake, establishing TD5 as a promising platform for CNS gene therapies.
More description
DC67295 Lipid MK16 Featured
MK-16 is a specialized lipid designed to traverse the blood-brain barrier (BBB) for effective mRNA delivery. Its formulation, MK 16 BLNP, leverages dual mechanisms involving caveolae and γ-secretase to facilitate BBB penetration, ensuring the targeted and efficient transport of functional mRNA to diverse brain cell types. Demonstrating excellent tolerability across a range of dosing regimens, MK16 BLNP represents a promising platform for brain-targeted therapeutic applications.
More description
DC60212 NT1-O14B Featured
NT1-O14B is a tryptamine-containing cationic lipidoid.1 It has been used in combination with other lipids in the formation of lipid nanoparticles (LNPs). Intravenous administration of LNPs containing NT1-O14B and encapsulating antisense nucleotides against tau decreases tau brain levels in mice.
More description
DC41043 NT1-O12B Featured
NT1-O12B, an endogenous chemical and a neurotransmitter-derived lipidoid (NT-lipidoid), is an effective carrier for enhanced brain delivery of several blood-brain barrier (BBB)-impermeable cargos. Doping NT1-O12B into BBB-impermeable lipid nanoparticles (LNPs) gives the LNPs the ability to cross the BBB. NT-lipidoids formulation not only facilitate cargo crossing of the BBB, but also delivery of the cargo into neuronal cells for functional gene silencing or gene recombination.
More description
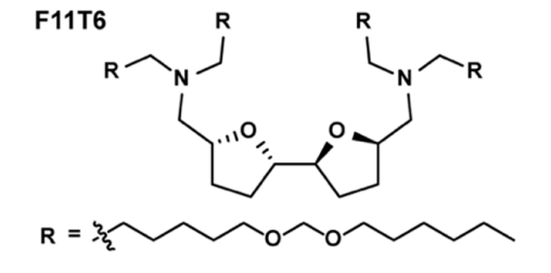
DC60841 Lipid F11T6
F11T6 is a next-generation lipid nanoparticle (LNP) optimized for ultra-efficient neuron-targeted mRNA delivery, featuring a dual-tetrahydrofuran (THF) core and four pH-responsive acetal tails. Its unique bis-THF architecture enhances lipid bilayer stability and promotes brain-specific biodistribution, achieving ​​16.4% GFP+ neurons​​ in vivo—the highest reported among CNS-targeting LNPs. Cryo-EM reveals a compact spherical structure (Ø~150 nm) with 93.2% mRNA encapsulation efficiency, while THF-acetal synergy enables rapid endosomal escape (Pearson coefficient: 0.16 vs. 0.27 for F10T5). Preclinical studies show F11T6 leverages meningeal lymphatic transport for brain accumulation, yielding ​​13.0% neuron-specific tdTomato expression​​ in Ai14 mice, surpassing F10T5 (8.93%) and SM102 (0.1%). Mechanistically, the dual-THF core strengthens interactions with lipoprotein receptors on brain endothelial cells, whereas acetal tails undergo acid-triggered hydrolysis in endosomes, releasing mRNA into the cytoplasm. Despite slightly higher liver/spleen accumulation than F10T5, toxicology assessments confirm no hepatorenal toxicity (BUN/ALT/AST within normal ranges) or histopathological changes. Co-localization analyses demonstrate superior penetration into deep brain regions like the hippocampus, critical for treating neurodegenerative disorders. With a LogD of 12.3, F11T6 balances lipid solubility and biodegradability, outperforming clinical benchmarks in both efficiency (40× SM102) and neuron specificity. This platform holds transformative potential for delivering CRISPR-Cas9, siRNA, or neurotrophic factors, particularly in diseases demanding high-dose CNS transfection with minimal off-target effects.
More description
DC89101 C12-4 (Lipid A-4) Featured
C12-4 (C12-494,Lipid A-4) is a branched-chain ionizable cationic lipidoid that has been used in the formation of lipid nanoparticles (LNPs) for the delivery of mRNA. LNPs containing lipid A4 and encapsulating an mRNA reporter accumulate in the uterus, placenta, and ovaries, as well as to the spleen and liver, in pregnant mouse dams unlike LNPs containing the branched-chain ionizable cationic lipidoid C12-200, which primarily accumulate in the liver. Intravenous administration of LNPs containing lipid A4 and encapsulating mRNA encoding VEGF increase placental VEGFR1 levels and mean fetal blood vessel area without inducing liver damage in pregnant mouse dams.
More description

Customized Consultation X

Your information is safe with us. * Required Fields.

Your name
Company
Email
Procuct Name
Cat. No.
Remark
Verification code
Please fill out the characters in the picture
X