Alternate TextTo enhance service speed and avoid tariff delays, we've opened a US warehouse. All US orders ship directly from our US facility.
Home > RNA Delivery > Cationic/Ionizable Lipids > Ionizable Lipids for lung-targeted delivery

Ionizable Lipids for lung-targeted delivery

You can also try the following methods, and our professionals will serve you Customized Consultation
Cat. No. Product Name Field of Application Chemical Structure
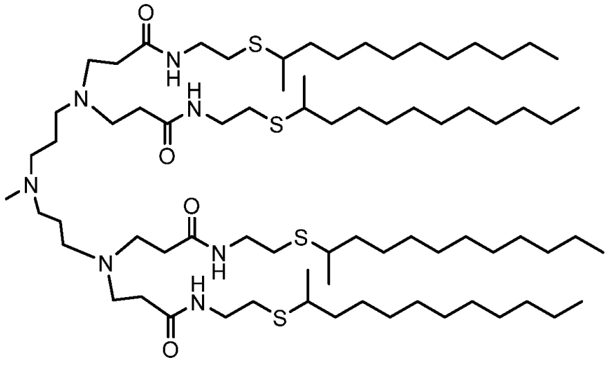
DC68056 A1T2C3(CP-LC-1067) Featured
A1T2C3 (CP-LC-1067) is a highly potent ionizable lipid designed for lung-targeted mRNA delivery. When formulated into lipid nanoparticles (LNPs), it produces particles approximately 80 nm in size with excellent uniformity and a high mRNA encapsulation efficiency (>94%). Its most distinguished feature is its exceptional organ selectivity. Following intravenous administration in mice, A1T2C3-based LNPs demonstrated a remarkable accumulation of over 94% of the signal in the lungs, with minimal distribution to other major organs. This makes it a leading candidate for developing therapeutics specifically targeted to pulmonary tissues.
More description
DC60605 Lipid 119-23 Featured
Lipid 119-23 is an ionizable lipid for mRNA delivery. 119-23 LNP exhibits an enhanced capability to express functional mCre in several categories of immune cells, spanning the liver, spleen and lung.
More description
DC60809 6Ac1-C12 Featured
6Ac1-C12 is an ester-core degradable ionizable cationic lipid designed for mRNA delivery, featuring a unique hexa-acrylate ester core ("6Ac1") conjugated with six N-methyldodecylamine chains ("C12") via solvent-free Michael addition. This branched architecture enables optimal mRNA encapsulation and confers exceptional stability, maintaining consistent ~100 nm particle size for over 30 days at 4°C—crucial for cold-chain storage. With a pKa ≈ 6.0, it facilitates pH-responsive endosomal escape through membrane fusion (80% FRET signal increase at pH 5.5) and efficient cytoplasmic mRNA release.Its composition allows precise organ targeting: in conventional four-component LNPs, 98% hepatic mRNA expression occurs post-IV administration, primarily in endothelial cells (60% transfection efficiency). Cholesterol removal enables lung-specific accumulation and translation via three-component formulations, overcoming historical hepatic off-targeting. The lipid shows negligible cytotoxicity in vitro (>85% cell viability) and no significant organ damage in vivo (ALT/AST/BUN/CREA levels comparable to PBS controls). Its degradable ester core hydrolyzes into smaller metabolites, enhancing biocompatibility. Modular compatibility with DOTAP/DDAB cationic lipids expands applicability for pulmonary or splenic targeting, establishing 6Ac1-C12 as a versatile platform for organ-selective mRNA therapeutics.
More description
DC60793 LUMI6 Featured
The LUMI-6 lipid, autonomously designed via the LUMI-lab platform, is a brominated ionizable lipid optimized for mRNA delivery. Formulated at a molar ratio of 35:28:34.5:2 (LUMI-6:DOTAP:cholesterol:C14-PEG2000), LNPs exhibit uniform physicochemical properties, including a hydrodynamic diameter of ~80 nm, polydispersity index (PDI) <0.2, and robust mRNA encapsulation efficiency. In vitro, LUMI-6 LNPs demonstrated 1.8-fold higher transfection potency in human bronchial epithelial cells compared to its debrominated counterpart (LUMI-6D), with minimal cytotoxicity confirmed by CCK-8 assays. In vivo, pulmonary delivery of CRISPR-Cas9 mRNA via LUMI-6 LNPs achieved ​20.3% gene editing efficiency in murine lung epithelial cells, surpassing SM-102 (Moderna’s clinical benchmark) and demonstrating ​preferential tropism for lung epithelium over endothelial cells—critical for inhaled therapies targeting cystic fibrosis and surfactant disorders. The brominated tail enhances endosomal escape through optimized protonation dynamics, though explicit pKa values remain unmeasured. Synthesized via high-throughput combinatorial chemistry and refined through AI-driven active learning, LUMI-6 combines scalable production with organ-selective delivery, positioning it as a transformative platform for pulmonary nucleic acid therapeutics.
More description
DC65682 RCB-4-8 Featured
RCB-4-8​​ is a biodegradable ionizable lipid nanoparticle (LNP) engineered for efficient pulmonary mRNA delivery and in vivo genome editing, as detailed in the primary research article ​​"Combinatorial design of nanoparticles for pulmonary mRNA delivery and genome editing"​​ (Li et al., Nature Biotechnology 2023). Synthesized from a combinatorial library of 720 biodegradable lipids via a three-component reaction system, RCB-4-8 features an alkyne-containing lipid tail and tertiary amine headgroup, optimized through high-throughput screening for superior lung-targeting capabilities. Its unique molecular design incorporates hydrolyzable ester and carbonate groups, enabling rapid biodegradation (<30% lung retention at 48 h vs. >90% for conventional lipids) while maintaining high transfection efficiency. When formulated with DOTAP instead of DOPE, RCB-4-8 LNPs achieved ​​100-fold higher luciferase mRNA expression​​ in murine lungs compared to FDA-approved MC3 LNPs and mediated ​​95% GFP knockout​​ in vitro. In Ai9 reporter mice, intratracheal delivery of RCB-4-8 loaded with Cre mRNA edited ​​53% of total lung cells​​ after three doses, while codelivery with Cas9 mRNA/sgRNA yielded ​​7.2% tdTomato+ cells​​, rising to ​​17%​​ when combined with AAV-sgRNAs. With an optimal particle size of ​​85.7 nm​​ (PDI 0.11) and ​​>87% mRNA encapsulation​​, RCB-4-8 supports repeat dosing and represents a transformative platform for inhalable gene therapies targeting congenital lung diseases like cystic fibrosis.
More description
DC60663 Si5-N14 Featured
Si5-N14 is a lipid-based molecule engineered with siloxane groups, designed specifically for efficient mRNA delivery to the lungs. The incorporation of siloxane units boosts the cellular uptake of mRNA-loaded lipid nanoparticles (LNPs) and enhances their ability to escape from endosomes. These properties significantly increase the overall effectiveness of mRNA delivery, making Si5-N14 a promising tool for targeted therapeutic applications.
More description
DC67449 Lipid TG4C Featured
TG4C is an ionizable cationic lipid (pKa 6.71) optimized for mRNA delivery via lipid nanoparticles (LNPs). When formulated into LNPs carrying human EPO mRNA, it significantly elevates serum EPO levels in mice. Furthermore, aerosolized TG4C-based LNPs containing HGF mRNA demonstrate therapeutic potential in pulmonary emphysema models, showing reduced inflammatory cytokines (IL-1β, IL-6, TNF-α) in bronchoalveolar lavage fluid after elastase-induced lung injury.
More description
DC67538 XH-04 Featured
XH-04 ​​is an ionizable lipid engineered for advanced mRNA delivery developed by ​​JiaChen West Lake Biotech. Its core structure features a central benzene ring with asymmetric hydrophobic tails (C9-C10 chains) and pH-responsive tertiary amines that enable efficient mRNA encapsulation and endosomal escape. As detailed in CN113993839A, XH04 outperforms industry benchmarks (e.g., MC3 lipid), boosting protein expression by ​​>10-fold​​ in BHK cells. In PCT/CN2024/121624, JiaChen further demonstrated its utility in lung-targeted LNPs (tLNP/tLCNP). When combined with cationic lipids (e.g., DOTMA at 2:1 molar ratio), XH 04 redirects >80% of mRNA delivery to murine lungs—overcoming liver tropism—while maintaining low toxicity. The lipid’s benzenic core and optimized alkyl chain geometry (patent claims 1-9) are credited for enhanced endosomal disruption and mRNA release kinetics. JiaChen’s innovations position XH-04 as a cornerstone for next-generation mRNA therapeutics.
More description
DC67280 Lipid 35
Lipid 35 is an novel ionizable lipid designed to enhance the delivery of mRNA to specific tissues, particularly the lungs.Lipid 35 demonstrates superior chemical stability, especially in storage conditions. This stability ensures that the lipid maintains its integrity over extended periods, making it ideal for long-term storage and large-scale production.Lipid 35 exhibits high transfection efficiency in various cell types, including nonimmune cells, endothelial cells, and epithelial cells. Lipid 35 has demonstrated excellent biocompatibility and safety in preclinical studies. It does not cause significant liver damage or adverse immune responses, making it a safer alternative for therapeutic applications.
More description
DC49907 5A2-SC8 Featured
5A2-SC8 is a dendrimer for miRNA delivery to late-stage liver tumors with low hepatotoxicity. 5A2-SC8 shows potent EC50 < 0.02 mg/kg (siRNA against FVII (siFVII)) in dose-response experiments, and well tolerated in separate toxicity studies in chronically ill mice bearing MYC-driven tumors. 5A2-SC8 is a degradable lipid-like compound (ester-based dendrimer) for small RNAs delivery.5A2-SC8, was obtained by screening a large library of more than 1500 ester-based dendrimers containing ionizable amino groups, which have three tertiary amine heads and five lipid tails. Based on this library, the in vitro transfection efficiency of different formulations of 5A2-SC8 iLNPs was evaluated, discovering the optimal formulation (5A2-SC8, DOPE, cholesterol, PEG at a molar ratio of 15:15:30:3) of 5A2-SC8 iLNPs for delivering fumarylacetoacetate hydrolase (FAH) mRNA to liver.After the intravenous injection via tail, the model mice of hepatorenal tyrosinemia type I had strong FAH protein expression, which prevented body weight loss and increased the survival rate of hepatorenal tyrosinemia mice . In addition to introducing utility of 5A2-SC8 iLNPs for the therapeutic intervention, the 5A2-SC8 iLNPs containing DOTAP have been used to establish complex mouse models via intravenous injection, including in situ liverspecific cancer model and in situ lung-specific cancer model. Based on this iLNPs delivery system, 5A2-SC8 induced model construction method overcomes the time-consuming and costly disadvantages of traditional animal models establishing methods, including transgenesis and gene engineering in embryonic stem cells.
More description
DC60855 4A3-SC7​​ Featured
4A3-SC7​​ is a proprietary, ionizable lipid component central to the SORT LNP platform developed for targeted organ delivery. It features a unique ​​branched-tail structure​​ designed to enhance mRNA encapsulation and endosomal escape. In the study, it served as the ​​primary ionizable lipid​​ in both Liver SORT LNPs and updated Lung SORT LNPs. For liver targeting, it was formulated at ​​15.04 mol%​​ alongside helper lipids (DOPE: 23.04%, Cholesterol: 38.72%), PEG-lipid (DMG-PEG2000: 3.2%), and the liver-targeting lipid ​​4A3-Cit (20 mol%)​​. This specific composition (Total lipid:RNA = 20:1 wt/wt) yielded LNPs with ​​~74 nm size​​, ​​low PDI (0.17)​​, and ​​high encapsulation efficiency (87%)​​ for large mRNAs like ABE editors (~5000 nt). Its branched-tail architecture was critical for stabilizing nanoparticles encapsulating large RNAs, overcoming a key limitation of previous formulations. 4A3-SC7-based Liver SORT LNPs enabled ​​>40% base editing in hepatocytes​​ in vivo, achieving durable correction of the disease-causing SERPINA1 mutation in PiZ mice and significantly reducing pathological protein aggregates. In the updated DualSORT system, 4A3-SC7 was also paired with ​​DORI​​ (instead of DOTAP) for improved lung targeting, demonstrating its versatility as a foundational ionizable lipid for multi-organ gene editing therapeutics.
More description
DC68023 Lipid 1A7B13 Featured
1A7B13 is a top-performing "tripod-like" lung-targeting (LuT) lipid. It forms lipid nanoparticles (LNPs) that, after intravenous injection, deliver genetic medicines (like mRNA and CRISPR-Cas9) to the lungs with over 90% selectivity, particularly favoring epithelial cells. Compared to the benchmark DOTAP LNPs, 1A7B13 LNPs achieve a 25.5-fold increase in mRNA delivery and a 9.2-fold improvement in gene-editing efficiency within the lungs. Its therapeutic potential was demonstrated by successfully delivering IL-10 mRNA to treat acute lung injury in mice.
More description
DC68039 CHCha-10 Featured
CHCha-10 is an amino acid-derived ionizable lipid engineered for pulmonary gene therapy. Its optimal surface charge (-0.126 mV) enables efficient mucus penetration, while a pKa of ~7.0 facilitates endosomal escape. Its unique conical structure promotes membrane fusion and mRNA release. In animal models, CHCha-10-based LNPs achieved highly efficient and specific editing of lung epithelial cells, particularly stem-like basal cells (~44%), with effects persisting through tissue renewal. It also demonstrated excellent efficacy and safety in ferrets, a model closely mimicking human lung physiology.
More description
DC67657 Lipid TS41 Featured
TS41 is a trisulfide-derived ionizable lipid engineered for lipid nanoparticles (LNPs) to deliver mRNA therapeutics against multidrug-resistant bacterial pneumonia. Its optimized formulation, TS41S LNP, combines TS41 with helper lipids (e.g., DOPE, cholesterol) at a precise ratio, achieving a hydrodynamic diameter of ~105 nm, low polydispersity, and high mRNA encapsulation efficiency (~84%). This design enables efficient pulmonary delivery via intratracheal administration, with luminescence signals in lungs 4.8-fold higher than clinical benchmarks like SM-102 LNPs, ensuring targeted expression in epithelial cells, macrophages, and neutrophils. Crucially, TS41 LNPs exhibit potent anti-inflammatory properties by scavenging reactive oxygen species (ROS), reducing neutrophil infiltration and proinflammatory cytokines (e.g., IL-6, TNF-α) in infected lungs. In preclinical models, TS41S LNP encoding PB9 peptibody mRNA eradicated pathogens like Staphylococcus aureus and Pseudomonas aeruginosa, improved survival rates to 80%, and minimized tissue damage without systemic toxicity. Its ROS-scavenging capability synergizes with antibacterial effects, offering a promising, translatable platform for combating resistant infections while controlling inflammation. Future enhancements, such as codon optimization or inhalation delivery, could further broaden its therapeutic potential.
More description
DC67721 Macrocyclic Lipid 5 Featured
Lipid 5 is an ionizable lipid based on a macrocyclic cyclam headgroup. Its structure incorporates a benzylmethyl carbonate (BMC) linker, which contains an aromatic benzene ring, and a saturated C18 hydrophobic tail. Lipid 5 was mixed with helper lipids at a fixed molar ratio and formulated into mRNA-loaded lipid nanoparticles (LNPs) using microfluidic technology. Characterization data show that these LNPs have a hydrodynamic diameter of approximately 50-80 nanometers and a polydispersity index (PDI) below 0.2, indicating a small particle size with a uniform distribution. Their zeta potential at physiological pH is near neutral (ranging from -3 to +3 mV). The mRNA encapsulation efficiency, as determined by the Ribogreen assay, exceeds 95%. Cryo-transmission electron microscopy images reveal that the LNPs exhibit a typical spherical bilayer structure. In in vitro experiments, Lipid 5 LNPs mediated a higher level of luciferase protein expression in HEK293FT cells compared to the benchmark lipid DLin-MC3-DMA. In Balb/c mice, intravenous injection of LNPs encapsulating luciferase mRNA resulted in in vivo imaging signals predominantly concentrated in the lungs. Quantitative analysis indicated that the signal intensity in the lungs was over 100 times greater than that in the liver, with more than 95% of the total signal distributed in the lungs. In Ai9 reporter gene mice, two intravenous injections of Lipid 5 LNPs encapsulating Cre mRNA led to quantitative analysis of lung tissue sections showing that approximately 30% of lung cells were positive for tdTomato signal.
More description
DC67654 ATX-012
ATX-012 is an ionizable cationic lipid specifically designed for mRNA delivery systems. Its unique chemical structure enables key functions in lipid nanoparticle (LNP) formulations, such as facilitating mRNA encapsulation and enhancing endosomal escape for efficient intracellular delivery.
More description
DC67292 IAJD34 Featured
IAJD-34 is a one-component ionizable amphiphilic Janus dendrimer specifically engineered for targeted mRNA delivery to the lung parenchyma, as described by Meshanni et al. in Nature Communications article "Targeted delivery of TGF-β mRNA to murine lung parenchyma using one-component ionizable amphiphilic Janus Dendrimers" . This synthetic nanoparticle self-assembles with mRNA through simple mixing in acetate buffer, forming stable dendrimersomes approximately 93-97 nm in size with high encapsulation efficiency (>95%) and a positive zeta potential (~48 mV). Its defining feature, highlighted in the study, is exceptional lung tropism after intravenous injection, enabling significantly higher luciferase expression in murine lungs compared to other organs. As demonstrated by Meshanni et al., IAJD 34 effectively delivers therapeutic mRNA (e.g., TGF-β mRNA) to the lower lung, inducing transient protein production with minimal systemic toxicity at appropriate doses (e.g., 10 µg), offering a promising strategy for treating parenchymal lung diseases.
More description
DC60489 LIPID 331 Featured
Lipid 331 is a biodegradable cyclic ionizable lipid. LNPs containing Lipid 331 result in robust transfection in the nasal and lung tissues of mice and efficient transfection of lung epithelial cells and lung-resident APCs. Lipid 331 is a promising candidate for mRNA vaccine delivery, offering the potential for further enhancing the potency of mRNA vaccines.
More description
DC67452 Lipid PPz-2R1
PPz-2R1 is an ionizable cationic lipid engineered for mRNA delivery via lipid nanoparticles (LNPs). These LNPs demonstrate remarkable lung-selective accumulation in mice, showing significantly higher uptake compared to heart, liver, spleen, and kidney tissues. When loaded with PTEN mRNA, PPz-2R1 LNPs effectively restore tumor suppressor function in PTEN-deficient lung cancer cells and inhibit tumor progression in orthotopic models, with enhanced efficacy observed in combination with PD-1 blockade therapy.
More description
DC60673 (+)CP-LC-0729
(+)CP-LC-0729 is an cationic lipid derived from CP-LC-0729 and achieves significantly higher expression and selectivity highlights the advantages of this lipid system for lung-targeted delivery.
More description
DC60706 FO-35 Featured
FO35 is an artificial intelligence-guided designed ionizable lipid for RNA delivery to the muscle, lung and nose. FO-35 LNPs enable potent transfection throughout the whole ferret lung epithelium, from trachea to alveoli.
More description
DC60705 FO-32 Featured
FO-32 is an artificial intelligence-guided designed ionizable lipid for RNA delivery to the muscle, lung and nose. FO-32 LNPs enable potent transfection throughout the whole ferret lung epithelium, from trachea to alveoli.
More description
DC65327 306-N16B Featured
306-N16B is a lipidnanoparticle, and allows systemic codelivery of Cas9 mRNA and sgRNA. 306-N16B can transport mRNA to the pulmonaryendothelial cell. 306-N16B can be used for research of genome editing-based therapies. Based on the same lipid libraries with 306-O12B, the researchers also found that N-series ionizable lipids were able to selectively deliver mRNA to the lungs of mice. Compared with the liver-targeted O-series ionizable lipids which contained ester bond in lipid tail found in previous work, such as 306-O12B, the N-series ionizable lipids with the lipid tail containing amide bond prefer to deliver mRNA to the lung. As a N-series ionizable lipid, the chemical structure of the 306-N16B is shown in Figure 4a,b. The difference of organ targeting may be due to their adsorption of different protein coronas during blood circulation caused by their different structures mentioned earlier.It has shown that the second major protein of the protein corona adsorbed by liver-targeting 306-O12B iLNPs was apolipoprotein E (ApoE), while the three dominant proteins in the protein corona adsorbed by lung-targeting 306-N16B iLNPs were serum albumin, fibrinogen beta chain, and fibrinogen gamma chain. However, the 306-N16B iLNPs showed less organ selectivity when systematically codelivered Cas9 mRNA and sgRNA in vivo, which could simultaneously activate tdTomato expression in the liver and lung of Ai14 mice, whereas single mRNA delivery could almost exclusively deliver mRNA to the lungs. This surprising phenomenon requires further investigation. Both the change of iLNPs charge and the change of lipids functional group can influence the distribution of iLNPs in vivo due to the altering of protein corona composition. Therefore, it is possible to control the organ targeting of iLNPs by controlling the composition of the outer protein corona of iLNPs.
More description
DC67525 Hopewell Lipid 649 Featured
L649 is a next-generation, lung-targeting ionizable lipid specifically designed for systemic mRNA delivery developed by Hopewell. Belonging to the novel "N-series" lipid class, it features a unique structure with an amine-containing head group and hydrophobic tails incorporating amide bonds. This design enables L649 to form highly stable lipid nanoparticles (LNPs) that exhibit exceptional tropism for the lower respiratory tract (lungs, bronchi, trachea) following intravenous administration. It demonstrates superior efficiency in delivering therapeutic payloads (like mRNA) specifically to key lung cell types, including alveolar epithelial cells (AT1 and AT2) and bronchial cells, while minimizing off-target accumulation in organs like the liver. L649-based LNPs, particularly when formulated with helper lipids like POPE, combine high potency with significantly improved tolerability, allowing for effective dosing in vivo. This makes L649 a promising candidate for developing treatments for various lung diseases such as pulmonary fibrosis, COPD, lung cancer, and infectious diseases like COVID-19.​
More description
DC60506 IR-117-17
IR-117-17 (A10-LIN) is an ionizable and biodegradable lipid specifically designed for nebulized mRNA delivery. When formulated into lipid nanoparticles (LNPs), IR-117-17 demonstrates remarkable efficacy, achieving a 300-fold enhancement in lung mRNA delivery compared to the best-performing LNP previously reported. Additionally, it shows a two-fold improvement over the leading PBAE-based delivery system, with up to a 45-fold increase in mRNA delivery efficiency to the large airways.
More description
DC60849 THOR 76 Crude
THOR 76​​ is an ionizable lipid developed for lung-targeted mRNA delivery, synthesized via a high-throughput Ugi four-component reaction (U4CR). It combines spermine (N3, amine core), oleyl aldehyde (A2), oleic acid (C2), and a morpholine-functionalized isonitrile (D3). Remarkably, its ​​crude reaction mixture​​ outperforms purified forms in efficacy, suggesting synergistic impurities or intermediates enhance function. Formulated into lipid nanoparticles (LNPs) with cholesterol, DOPE, and PEG-lipid, THOR 76 LNPs exhibit ​​exceptional lung tropism​​ with secondary spleen affinity after intravenous administration. They efficiently transfect ​​pulmonary endothelial cells​​, enabling robust gene expression (e.g., Cre recombinase) and significant CRISPR-Cas9-mediated gene editing (1.22% at 0.1 mg/kg dose) in the lungs. With a particle size <150 nm, positive zeta potential, and >90% mRNA encapsulation, THOR 76 achieves targeted delivery while minimizing off-target effects in the liver. Its design overcomes limitations of cationic helper lipids, offering a potent, tolerable platform for treating pulmonary genetic disorders and cancers.
More description
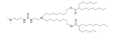
DC60566 Lipid CAD9 (3-A2-7b)
Lipid CAD9 (3-A2-7b is a cationic degradable (CAD) lipid. 3-A2-7b formulated LNP, LNP-CAD9, can deliver FLuc mRNA to the lungs in vivo. LNP-CAD9 co-delivering Cas9 mRNA/VEGFR2 single guide RNA (sgRNA) effectively induces VEGFR2 knock out in lung endothelial cells of female mice.
More description
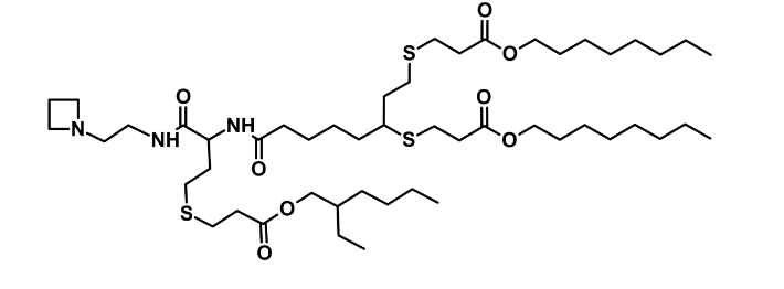
DC60838 A3T2C7 (CP-LC-1495)
A3T2C7 (CP-LC-1495) is a biodegradable ionizable lipid featuring three β-propionate linkers and an azetidine polar head, formulated in four-component LNPs. It demonstrates exceptional lung-targeted mRNA delivery with 97.1% selectivity and high protein expression (1.21×10⁸ p/s) in mice. Its slightly positive zeta potential (~3.5 mV) correlates with lung tropism, likely mediated by protein corona enrichment of vitronectin and prothrombin. The β-propionate structure enables pH-sensitive biodegradability for enhanced endosomal escape while maintaining low cytotoxicity (>90% cell viability). This lipid enables organ-specific mRNA delivery without permanently charged additives, outperforming conventional SORT strategies in selectivity and expression efficiency.
More description
DC67315 Lipid AA15
The AA15 lipid, an amino acid-derived ionizable lipid, integrates a carboxylic acid-containing headgroup and biodegradable branched ester tails (R2) to enhance mRNA delivery. Optimized as AA15V LNP, it exhibits a hydrodynamic diameter of 102.3 ± 4.1 nm, low polydispersity (PDI <0.15), and slightly positive zeta potential (+4–6 mV), enabling efficient tumor-targeted delivery. With a pKa ~6.1–6.4, AA15V ensures protonation in acidic endosomes, promoting mRNA release. It achieves >85% mRNA encapsulation efficiency, critical for stable saRNA delivery. In vitro, AA15V LNP-sSE-SCTs induced sustained SE-SCT expression (69% H-2Kb+β2m+ B16F10 cells at 72 h), outperforming mRNA formulations. In vivo, a single intratumoral dose of AA15V LNP-sSE-SCTs suppressed tumor growth by 22-fold in vaccinated mice, synergizing with checkpoint inhibitors (anti-PD-1/CTLA-4) for complete regression in 28.6% of lymphoma models. Ex vivo, AA15V enabled SE-SCT expression in human glioblastoma (7.1% CD45− cells) and lung cancer samples (5.8–8.7%), underscoring clinical potential. Key data: pKa ~6.3; encapsulation: 85–89%; zeta: +4–6 mV; size: 102.3 ± 4.1 nm. 
More description

Customized Consultation X

Your information is safe with us. * Required Fields.

Your name
Company
Email
Procuct Name
Cat. No.
Remark
Verification code
Please fill out the characters in the picture
X